Laatste update :
18/03/2026
Antimycoticum   Amphotericin B  
gorgelen
Aerosol injecteerbaar geneesmiddel Oogwater Orale Oplossing
Stabiliteit van farmaceutische preparaten Stabiliteit in mengsels Factoren die de stabiliteit beïnvloeden Verenigbaarheden Literatuur pdf
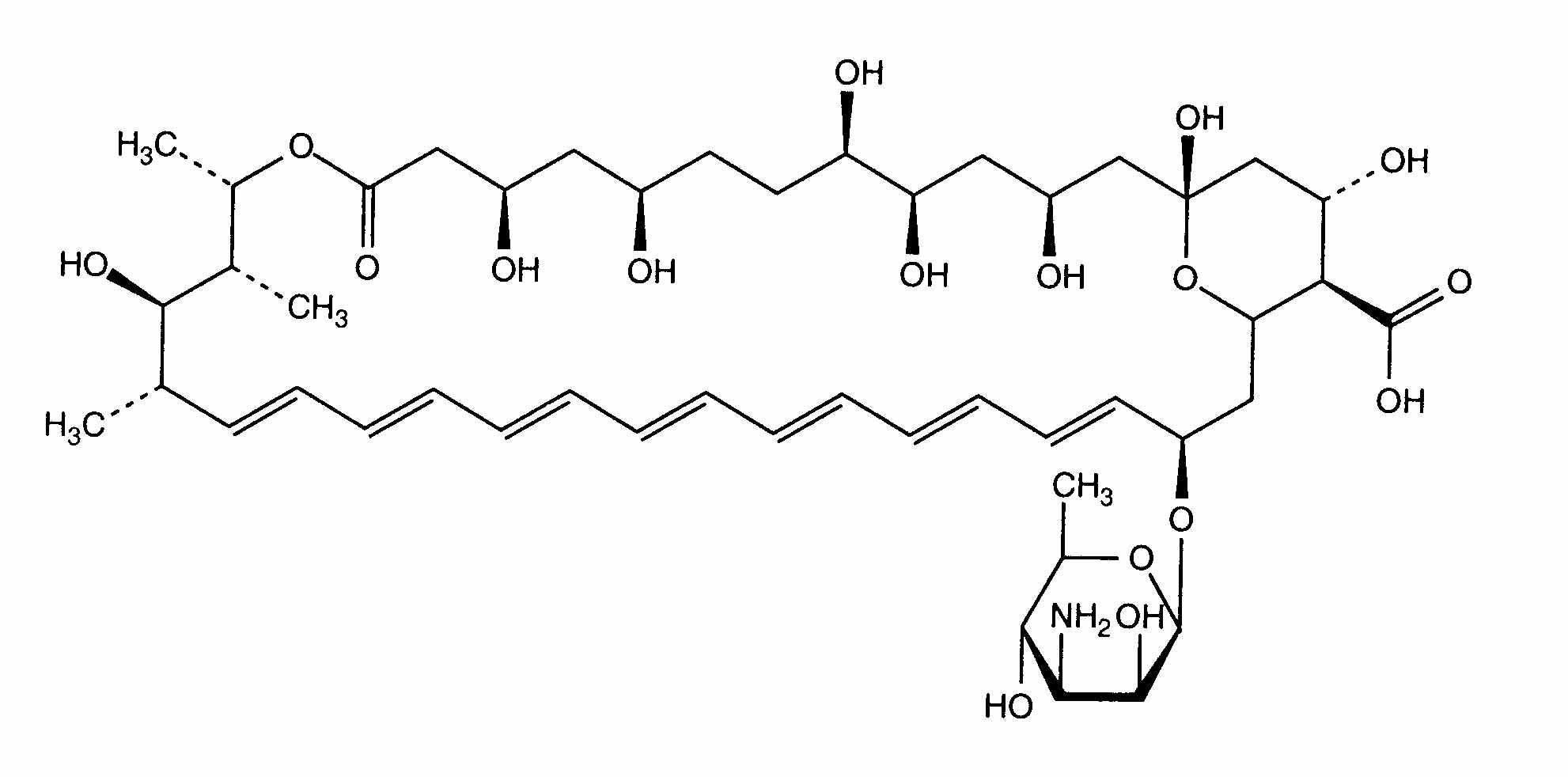
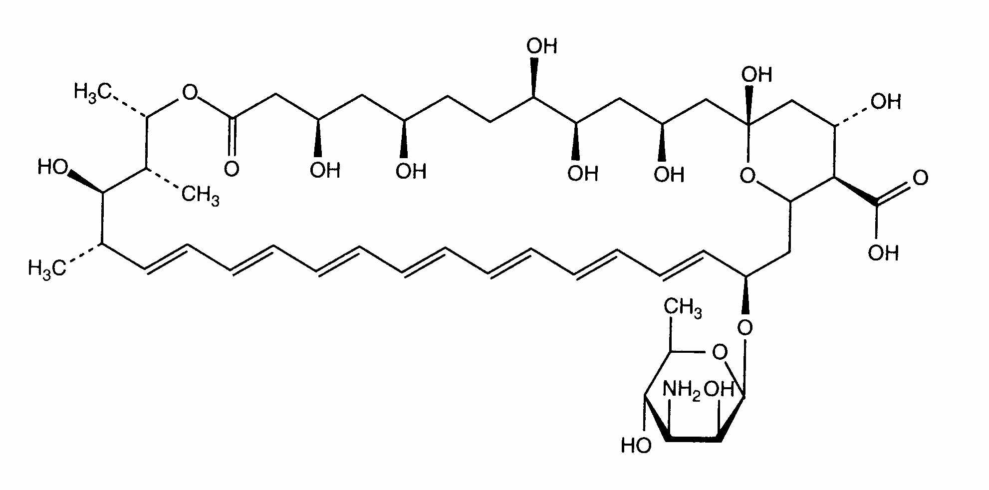
   Molecuulstructuur  

gorgelen
Verenigbaarheden   gorgelen   Verenigbaarheden : Amphotericin B              
geen gegevens

  Mentions Légales