Letztes “update” :
18/03/2026
Antifungoid   Amphotericin B  
Mundspüllösung
Aerosol Augentropfen Injektion Lösung zum Einnehmen
Stabilität von pharmazeutischen Präparaten Gemengestabilität Stabilitätbeeinflussende Faktoren Kompatibilitäten Literaturverzeichnis pdf
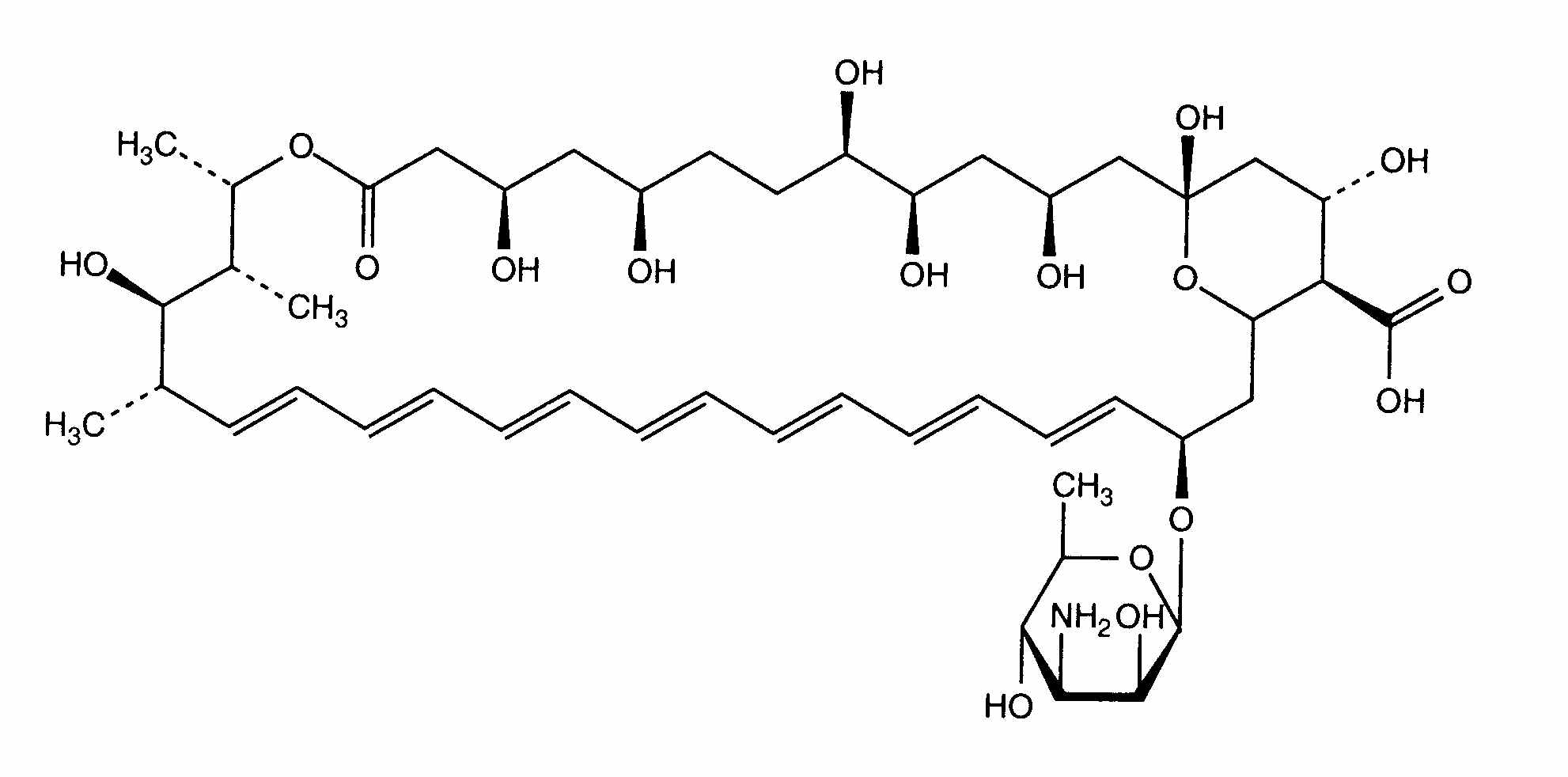
   Chemische Struktur  

Mundspüllösung
Kompatibilitäten   Mundspüllösung   Kompatibilitäten : Amphotericin B              
Keine Daten

  Mentions Légales