Ultimo aggiornamento :
18/03/2026
Antimicotico   Amphotericin B  
Collutorio
Aerosol Collirio Iniezione Soluzione orale
Stabilità dei preparati farmaceutici Stabilità in miscela Fattori che influenzano la stabilità Compatibilità Bibliografia pdf
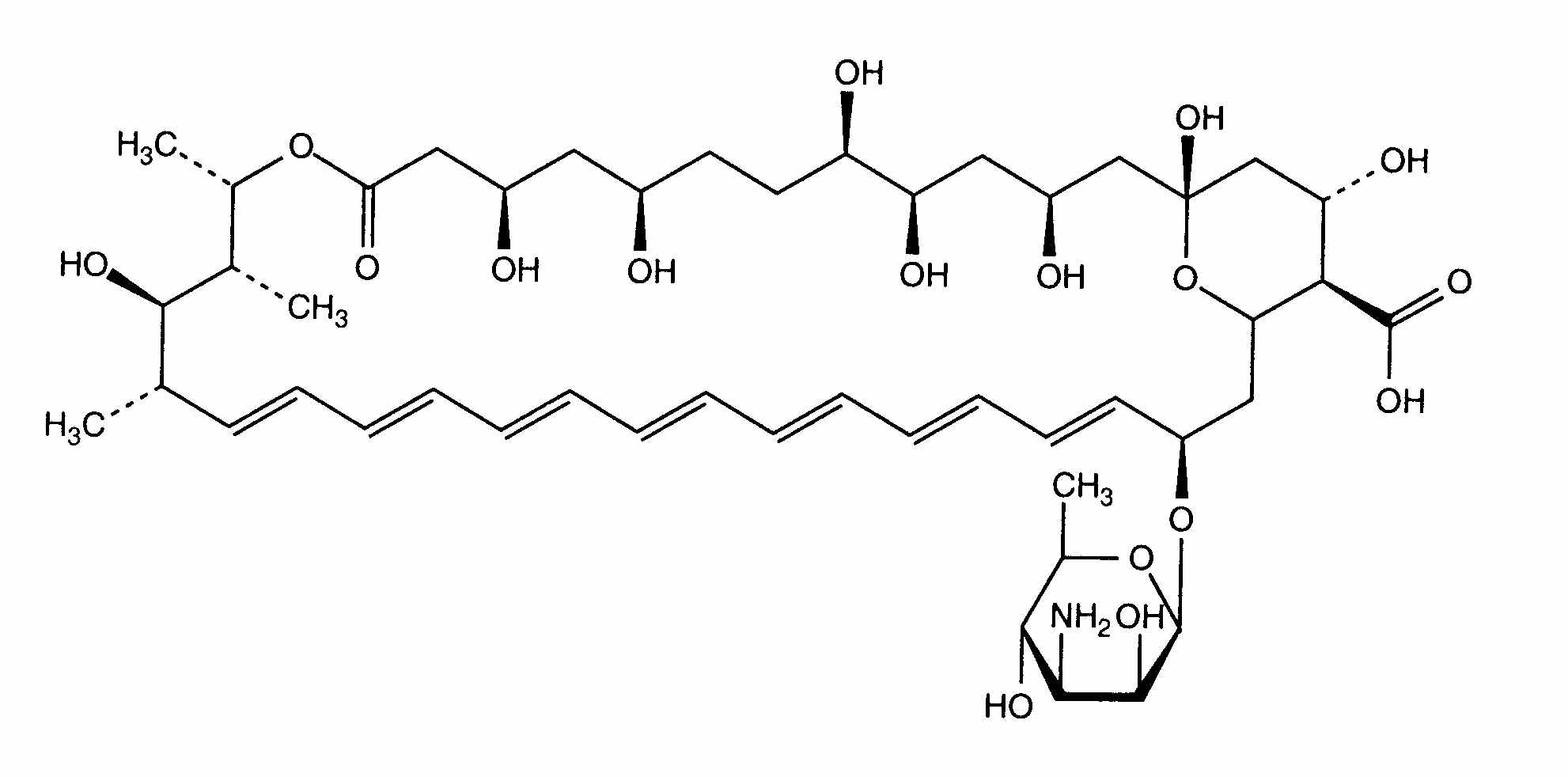
   Struttura chimica  

Collutorio
Compatibilità   Collutorio   Compatibilità : Amphotericin B              
Assenza di dati

  Mentions Légales