Ostatnia aktualizacja :
18/03/2026
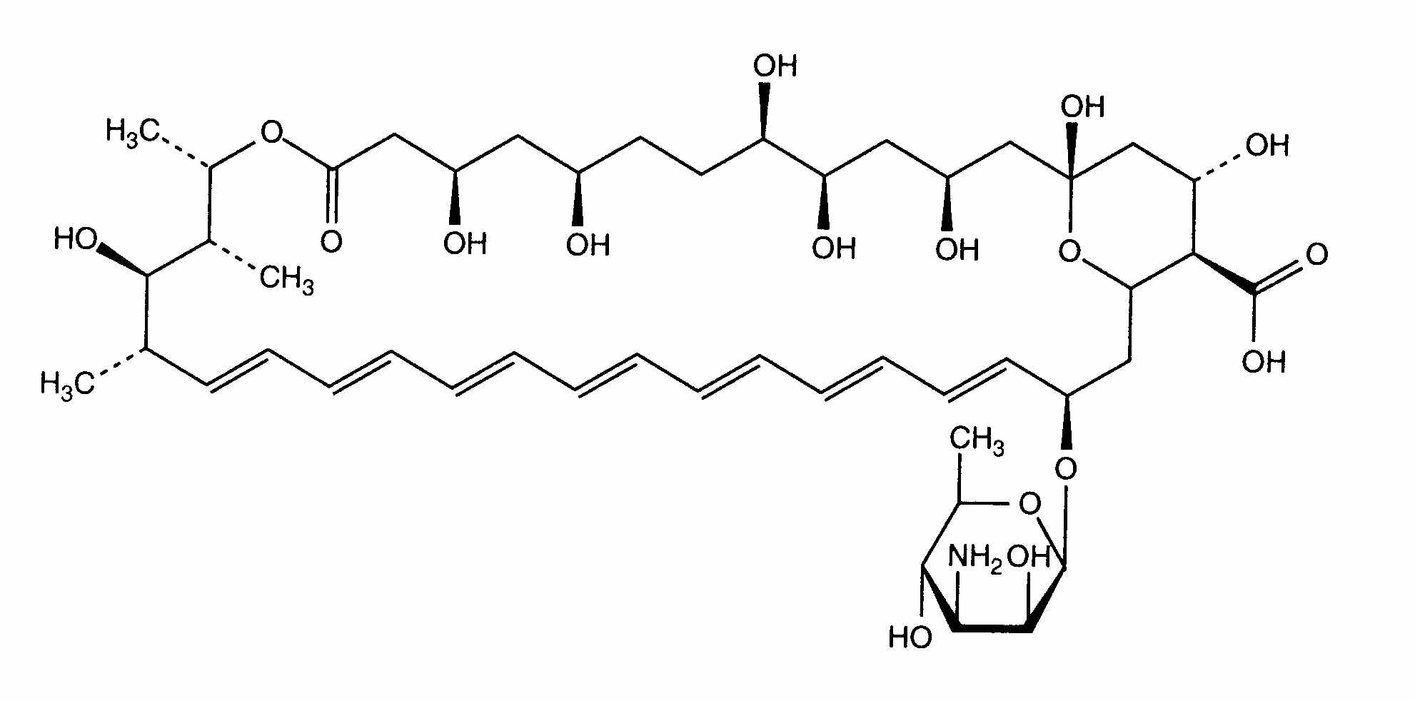
Lek przeciwgrzybiczny   Amphotericin B  
Roztwór do płukania gardła
Aerozol Injekcje Krople oczne Roztwór doustny
Stabilność preparatów farmaceutycznych Trwałość w mieszaninie Czynnik wpływający na trwałość Zgodność Bibliografia pdf
   Struktura chemiczna  

Roztwór do płukania gardła
Zgodność   Roztwór do płukania gardła   Zgodność : Amphotericin B              
Brak danych

  Mentions Légales