Last update :
18/03/2026
Antifungal   Amphotericin B  
Mouthwash
aerosol Eye-drops injection Oral solution
Stability of pharmaceutical preparations Stability of mixtures Factors which affect stability Compatibility References pdf
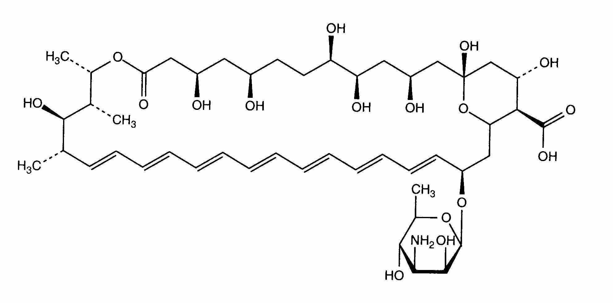
   Chemical structure  

Mouthwash
Compatibility   Mouthwash   Compatibility : Amphotericin B              
No data

  Mentions Légales