Τελευταία ενημέρωση :
18/03/2026
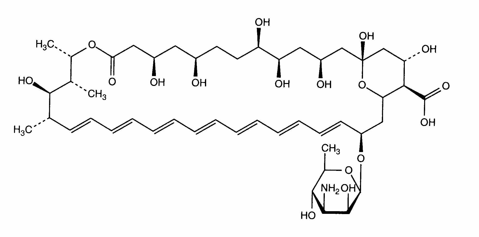
Αντιμυκητικό   Amphotericin B  
Στοματικό διάλυμα
Αεροζόλ Ενέσιμο Οφθαλμικές σταγόνες Πόσιμο διάλυμα
Σταθερότητα και συμβατότητα των φαρμάκων Σταθερότητα σε μίγματα Παράγοντας που επηρεάζει τη σταθερότητα Συμβατότητες Βιβλιογραφία pdf
   χημική δομή  

Στοματικό διάλυμα
Συμβατότητες    Στοματικό διάλυμα   Συμβατότητες : Amphotericin B              
Δεν υπάρχουν πληροφορίες

  Mentions Légales