Siste oppdatering :
18/03/2026
Fungicid   Amphotericin B  
Munnvann
Aerosol Injeksjon Mikstur Øyedråper
Stabilitet av farmasøytiske preparater Stabilitet i blandinger Faktorer som påvirker stabiliteten Kompatibilitet Referanser pdf
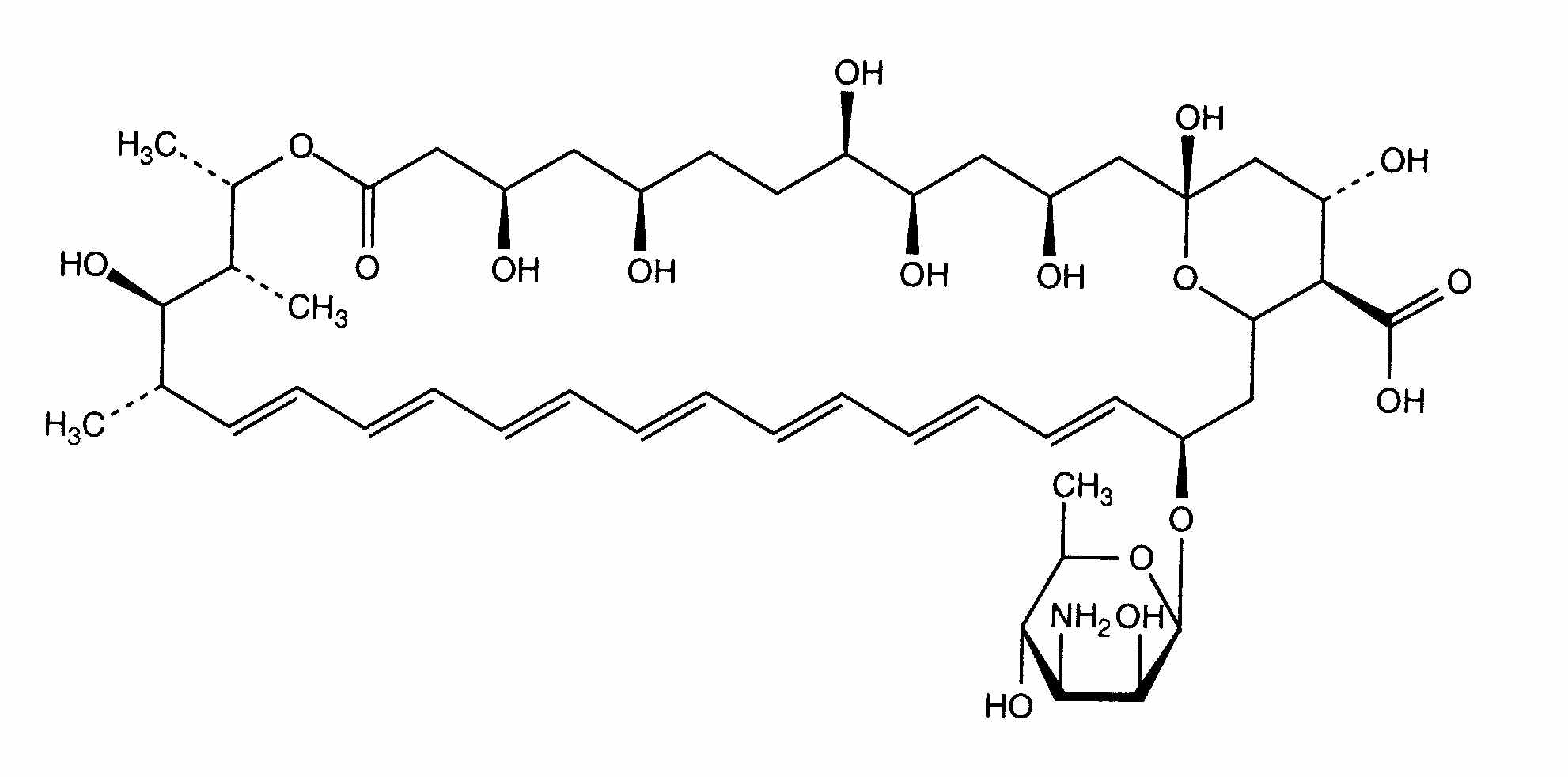
   Kjemisk struktur  

Munnvann
Kompatibilitet   Munnvann   Kompatibilitet : Amphotericin B              
Ingen opplysninger

  Mentions Légales