zadnja posodobitev :
18/03/2026
Antimikotik   Amphotericin B  
Ustna voda
Aerosol Brizgalka Kapljice za oči Peroralna raztopina
Stabilnost farmacevtskih preparatov Stabilnost mešanice Faktorji, ki vplivajo na stabilnost Kompatibilnost Viri pdf
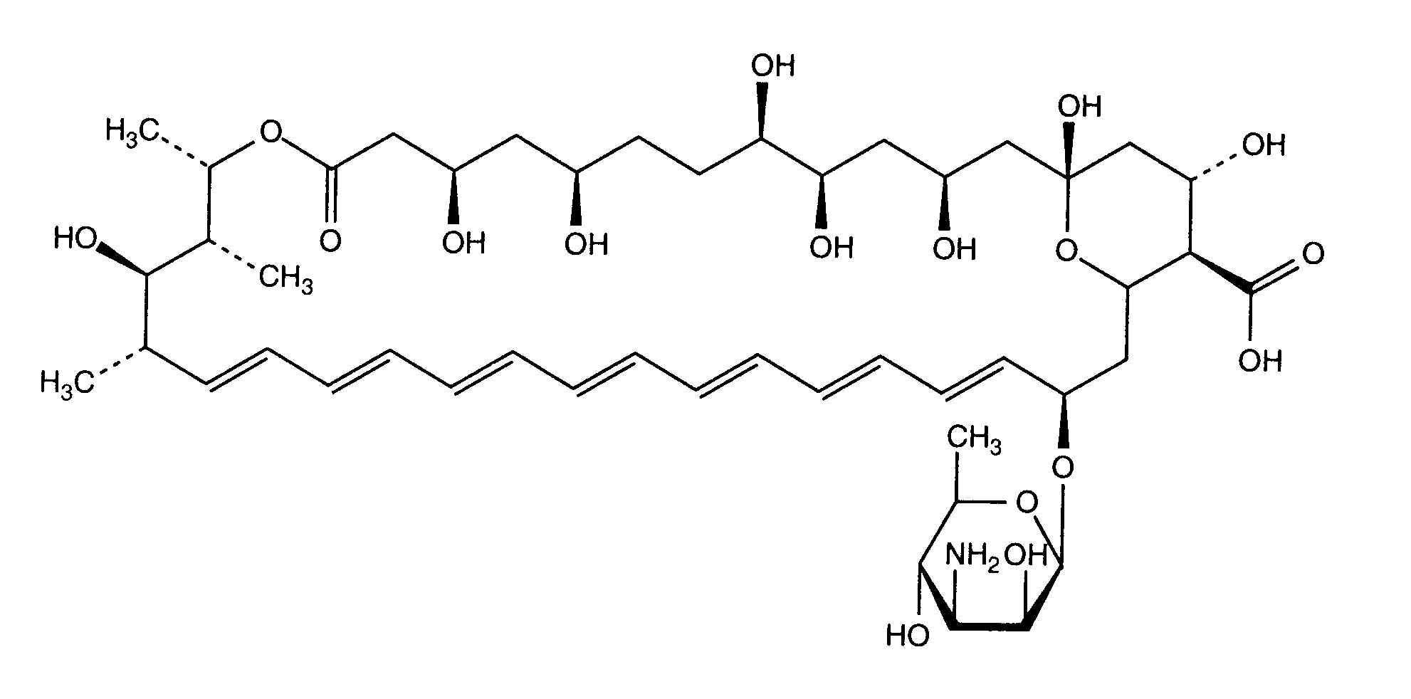
   Kemična formula  

Ustna voda
Kompatibilnost   Ustna voda   Kompatibilnost : Amphotericin B              
ni podatka

  Mentions Légales