Последно актуализиране :
18/03/2026
Противогъбично средство   Amphotericin B  
Разтвор за уста
Аерозол Инжекция/Инжекционен Капки за очи Орален разтвор
Стабилност на лекарствени препарати Стабилност на смеси Фактори, повлияващи стабилността Съвместимост Библиография Pdf
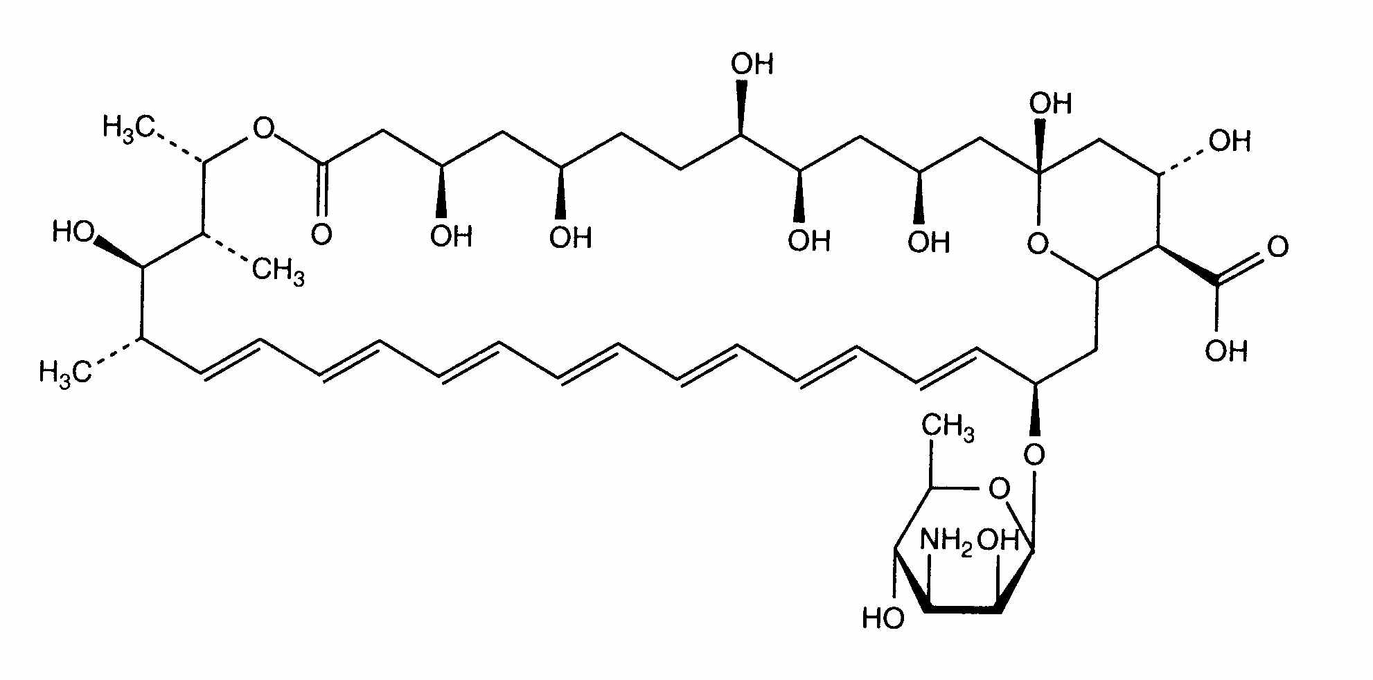
   Химична структура  

Разтвор за уста
Съвместимост   Разтвор за уста   Съвместимост : Amphotericin B              
Няма данни

  Mentions Légales