Последнее обновление :
18/03/2026
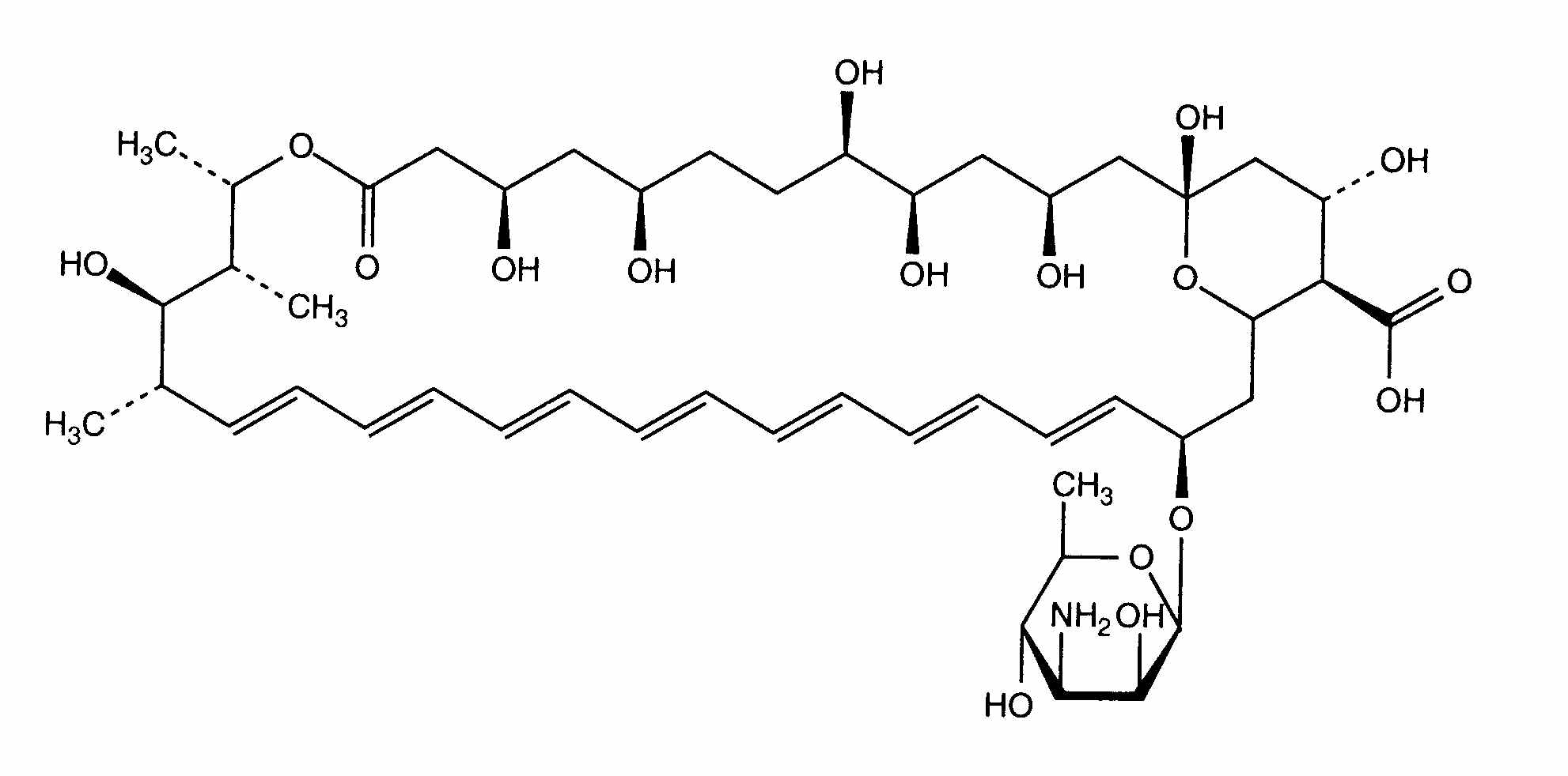
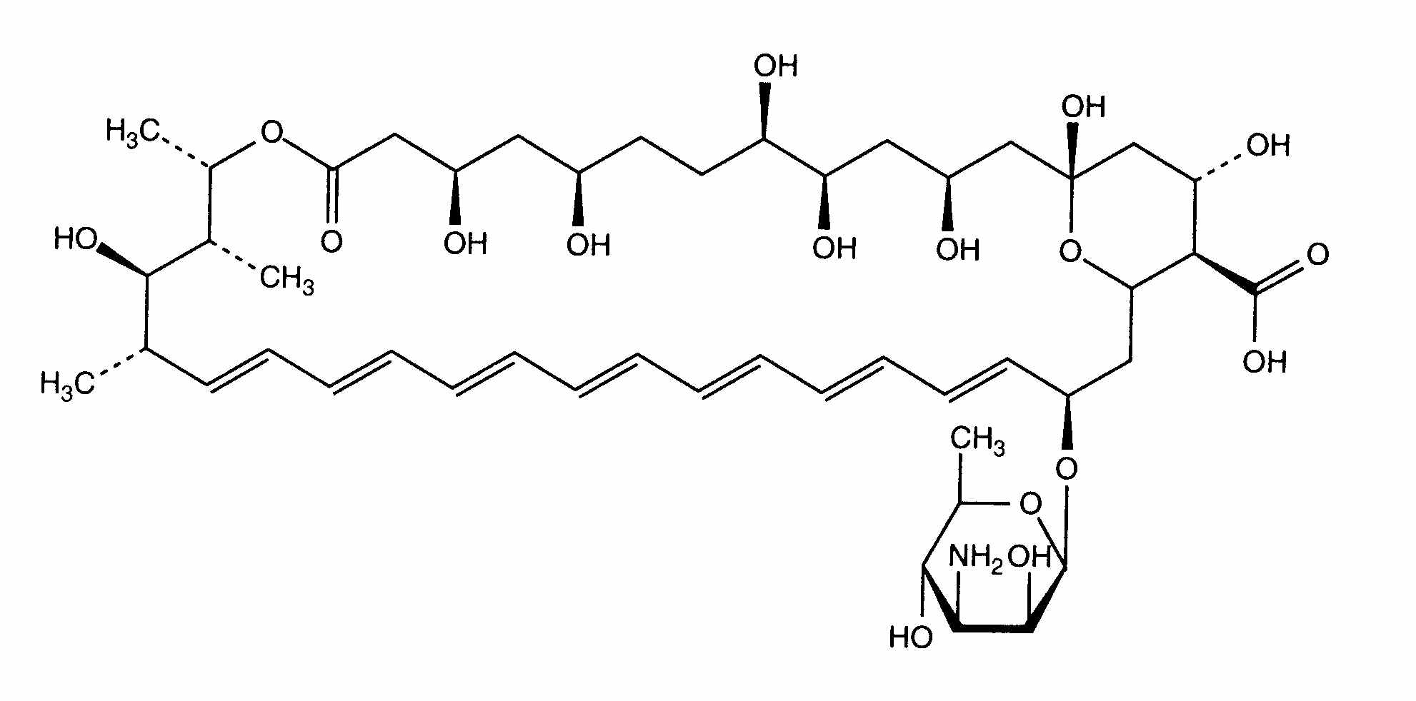
Противогрибковое средство   Amphotericin B  
Ополаскиватель для полости рта
Аэрозоль Глазные капли Инъекция Раствор для перорального приёма
Стабильность фармацевтических препаратов Стабильность смесей Факторы, которые влияют на стабильность Совместимость Библиография pdf
   Химическая структура  

Ополаскиватель для полости рта
Совместимость   Ополаскиватель для полости рта   Совместимость : Amphotericin B              
данных нет

  Mentions Légales