viimane versioon :
18/03/2026
Seenevastane ravim   Amphotericin B  
Suuloputus lahus
aerosool Silmatilgad Süsteravim suukaudne lahus
Stabiilsust ravimpreparaadid Stabiilsust mõjutavad tegurid stabiilsust mõjutavad faktorid Sobimatus Viited pdf
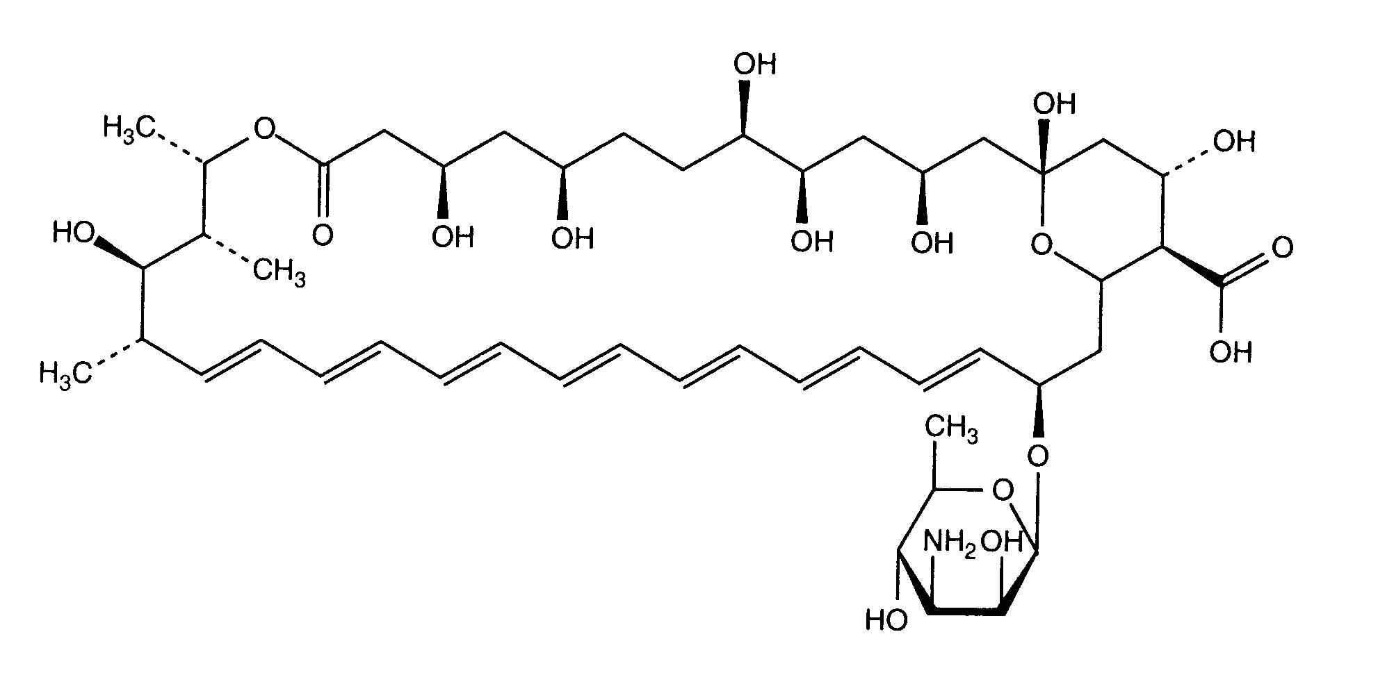
   keemiline struktuur  

Suuloputus lahus
Sobimatus   Suuloputus lahus   Sobimatus : Amphotericin B              
andmed puuduvad

  Mentions Légales