Posledná aktualizácia :
18/03/2026
elektrolyt   Calcium gluconate  
Dermálny prípravok
Injekcia
Stabilita farmaceutických prípravkov Stabilita v zmesiach Faktory ovplyvňujúce stabilitu Kompatibility Odkazy na literatúru PDF
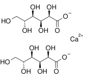
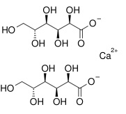
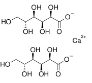
   Chemický vzorec  

Dermálny prípravok
Kompatibility   Dermálny prípravok   Kompatibility : Calcium gluconate              
žiadne údaje

  Mentions Légales