Seneste opdatering :
18/03/2026
Elektrolyt   Calcium gluconate  
Salver
Injektion
Stabilitet af farmaceutiske tilberedninger Stabilitet i blandinger Faktorer der påvirker stabiliteten Kompatibilitet Bibliografi pdf
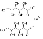
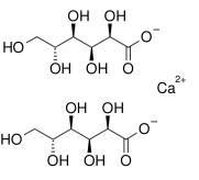
   Kemisk struktur  

Salver
Kompatibilitet   Salver   Kompatibilitet : Calcium gluconate              
Ingen data

  Mentions Légales