最新更新 :
18/03/2026
电解液   Calcium gluconate  
药膏
注射液
制剂的稳定性 混合物稳定性 影响稳定性的因素 兼容性 引用文献 PDF
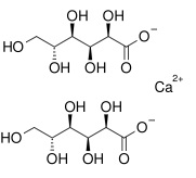
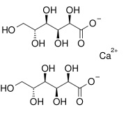
   化学式  

药膏
兼容性   药膏   兼容性 : Calcium gluconate              
无数据

  Mentions Légales