Last update :
18/03/2026
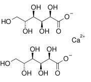
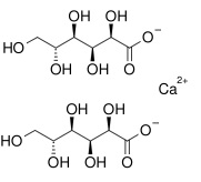
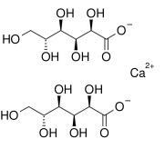
Electrolyte   Calcium gluconate  
Ointments
injection
Stability of pharmaceutical preparations Stability of mixtures Factors which affect stability Compatibility References pdf
   Chemical structure  

Ointments
Compatibility   Ointments   Compatibility : Calcium gluconate              
No data

  Mentions Légales