Последно актуализиране :
18/03/2026
Електролитен   Calcium gluconate  
Унгвент/Унгвенти
Инжекция/Инжекционен
Стабилност на лекарствени препарати Стабилност на смеси Фактори, повлияващи стабилността Съвместимост Библиография Pdf
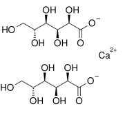
   Химична структура  

Унгвент/Унгвенти
Съвместимост   Унгвент/Унгвенти   Съвместимост : Calcium gluconate              
Няма данни

  Mentions Légales