Poslední aktualizace :
18/03/2026
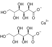
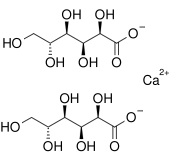
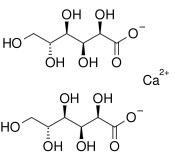
elektrolitas   Calcium gluconate  
Tepalai
Įpurškimas
Stabilumas farmacinių preparatų Mišinių stabilumas Stabilumą lemiantys veiksniai Suderinamumas Bibliografija pdf
   Cheminė sandara  

Tepalai
Suderinamumas   Tepalai   Suderinamumas : Calcium gluconate              
Nėra duomenų

  Mentions Légales