Letztes “update” :
05/12/2025
Elektrolyt   Calcium gluconate  
Salben
Injektion
Stabilität von pharmazeutischen Präparaten Gemengestabilität Stabilitätbeeinflussende Faktoren Kompatibilitäten Literaturverzeichnis pdf
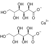
   Chemische Struktur  

Salben
Kompatibilitäten   Salben   Kompatibilitäten : Calcium gluconate              
Keine Daten

  Mentions Légales