Pēdējā atjaunošana :
18/03/2026
elektrolīts   Calcium gluconate  
Ziedes
Injekcija
Stabilitāte farmaceitisko preparātu Maisījuma stabilitāte Stabilitāti ietekmējoši faktori Saderība Literatūras saraksts pdf
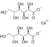
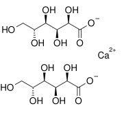
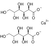
   Ķīmiskā uzbūve   

Ziedes
Saderība   Ziedes   Saderība : Calcium gluconate              
Nav datu

  Mentions Légales