viimane versioon :
18/03/2026
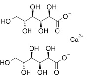
elektrolüüt   Calcium gluconate  
salv
Süsteravim
Stabiilsust ravimpreparaadid Stabiilsust mõjutavad tegurid stabiilsust mõjutavad faktorid Sobimatus Viited pdf
   keemiline struktuur  

salv
Sobimatus   salv   Sobimatus : Calcium gluconate              
andmed puuduvad

  Mentions Légales