Останнє оновлення :
18/03/2026
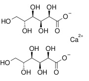
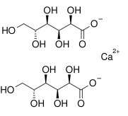
Електроліт   Calcium gluconate  
Мазі
ін'єкція
Стабільність фармацевтичних препаратів Стійкість сумішей Фактори, що впливають на стабільність Сумісність Список літератури pdf
   Хімічна структура  

Мазі

Фактори, що впливають на стабільність   Мазі   Фактори, що впливають на стабільність : Calcium gluconate        
7 / 5 000 Résultats de traduction Немає даних

  Mentions Légales