Zadnji put ažurirano :
18/03/2026
elektrolita   Calcium gluconate  
masti
injekcija
Stabilnost farmaceutskih pripravaka Stabilnost mješavine Stabilizacijski faktor Kompatibilnosti Bibliografija pdf
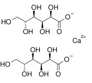
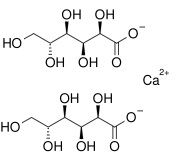
   Kemijska struktura  

masti
Kompatibilnosti   masti   Kompatibilnosti : Calcium gluconate              
bez podataka

  Mentions Légales