Ultimele actualizari :
18/03/2026
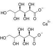
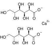
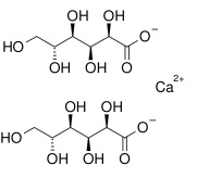
electrolit   Calcium gluconate  
Unguente
Injectabil
Stabilitatea preparatelor farmaceutice Stabilitatea in amestec Factorii care influenteaza stabilitatea Compatibilitate Bibliografie pdf
   Formula chimica  

Unguente
Compatibilitate   Unguente   Compatibilitate : Calcium gluconate              
Absenta de date

  Mentions Légales