Τελευταία ενημέρωση :
18/03/2026
ηλεκτρολυτών   Calcium gluconate  
Αλοιφές
Ενέσιμο
Σταθερότητα και συμβατότητα των φαρμάκων Σταθερότητα σε μίγματα Παράγοντας που επηρεάζει τη σταθερότητα Συμβατότητες Βιβλιογραφία pdf
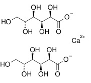
   χημική δομή  

Αλοιφές
Συμβατότητες    Αλοιφές   Συμβατότητες : Calcium gluconate              
Δεν υπάρχουν πληροφορίες

  Mentions Légales