آخر تحديث :
18/03/2026
المنحل بالكهرباء   Calcium gluconate  
المراهم
حقن
استقرار المستحضرات الصيدلانية استقرار مخاليط العوامل التي تؤثر على الاستقرار التوافق مراجع pdf
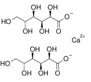
   التركيب الكيميائي  

المراهم
التوافق   المراهم   التوافق : Calcium gluconate              
لا توجد بيانات

  Mentions Légales