Cập nhật lần cuối :
27/11/2025
Thuốc giảm đau   Hydromorphone hydrochloride  
Dạng tiêm
Tính ổn định của các dung dịch Độ ổn định khi trộn lẫn Những yếu tố ảnh hưởng đến độ ổn định Khả năng tương thích Đường dùng Tài liệu tham khảo Pdf
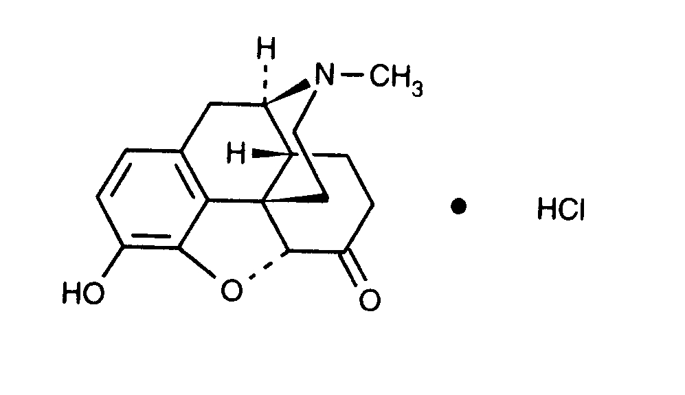
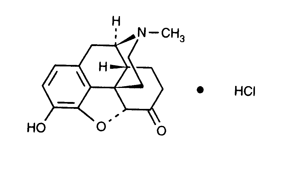
   Cấu trúc hóa học  

Tên thương mại   Tên thương mại     

Các tên thương mại được cung cấp và thành phần tá dược có thể khác nhau giữa các quốc gia và các hãng dược

Dilaudid Canada, Hoa Kỳ
Hydal Áo
Palladon Thụy Sỹ, Đan Mạch
Palladone Anh
Đường dùng   Đường dùng :Hydromorphone hydrochloride     
Đường dùng
Tiêm tĩnh mạch
Truyền tĩnh mạch
Tiêm bắp
Tiêm dưới da
Truyền dưới da

  Mentions Légales