Last update :
18/03/2026
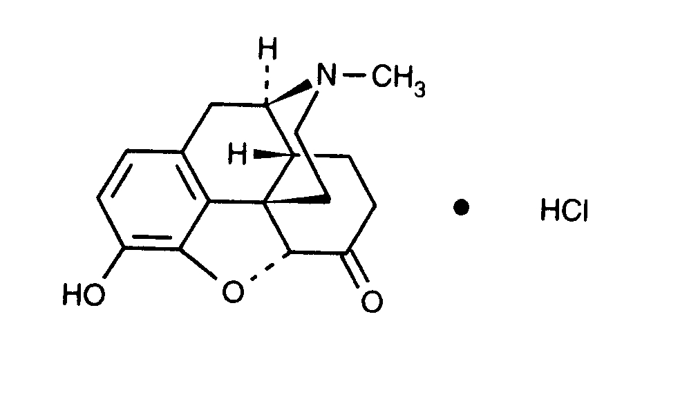
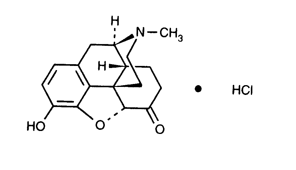
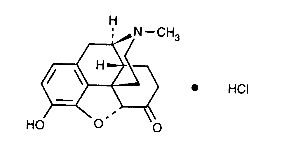
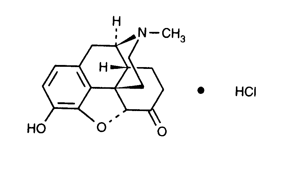
Analgesic   Hydromorphone hydrochloride  
injection
Stability in solutions Stability of mixtures Factors which affect stability Compatibility Route of administration References pdf
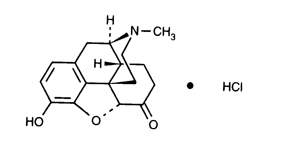
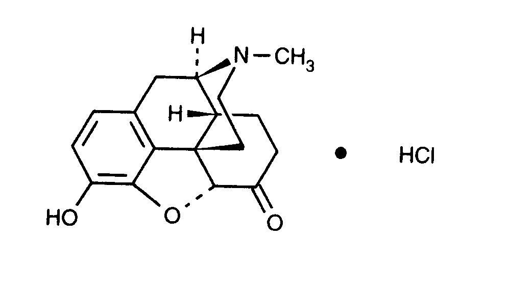
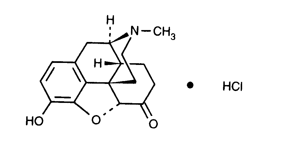
   Chemical structure  

Tradename   Tradename     

Trade names are indicative and excipients composition can be different depending on the country and manufacturers

Dilaudid Canada, United States of America
Hydal Austria
Palladon Denmark, Switzerland
Palladone Great Britain
Route of administration   Route of administration :Hydromorphone hydrochloride     
Route
Intravenous
Intravenous infusion
Intramuscular
Subcutaneous
Subcutaneous infusion

  Mentions Légales