最新更新 :
05/12/2025
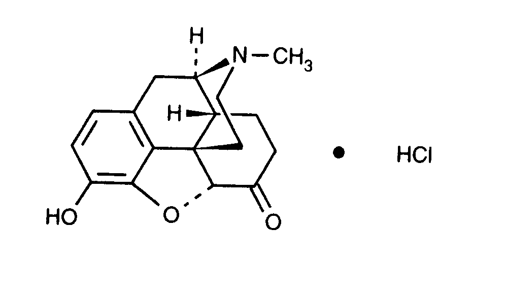
止痛药   Hydromorphone hydrochloride  
注射液
溶液稳定性 混合物稳定性 影响稳定性的因素 兼容性 用药途径 引用文献 PDF
   化学式  

商品名   商品名     

商品名仅供参考, 药品所用的辅料可能依国家或厂商不同有所不同。

Dilaudid 加拿大, 美国
Hydal 奥地利
Palladon 丹麦, 瑞士
Palladone 英国
用药途径   用药途径 :Hydromorphone hydrochloride     
路线
静脉注射
静脉输液
肌肉内
皮下
皮下输液

  Mentions Légales