最新更新 :
18/03/2026
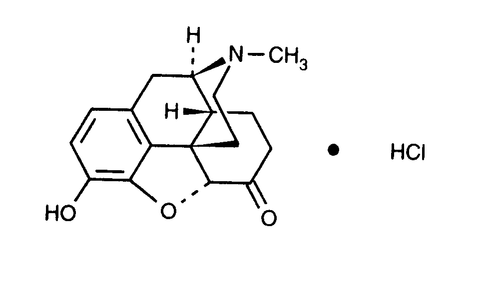
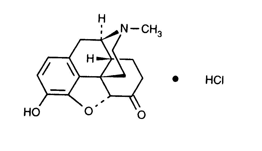
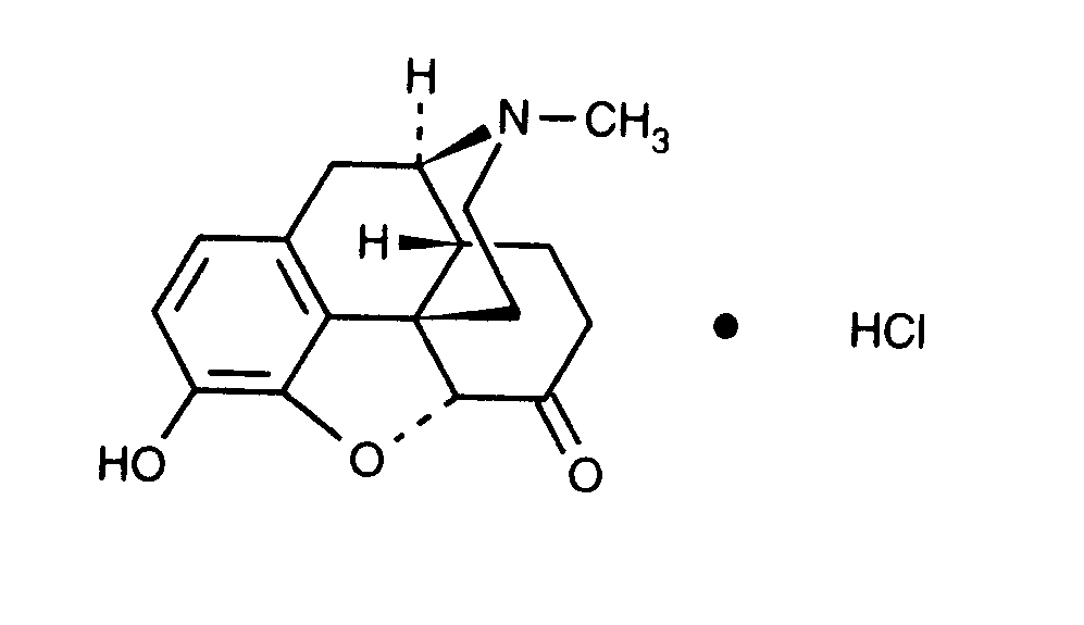
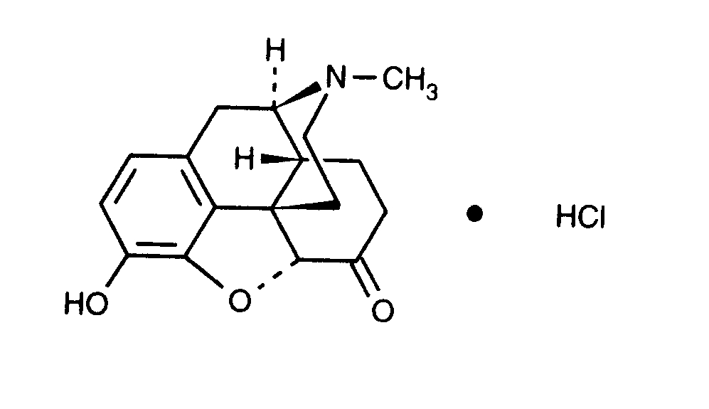
鎮痛薬   Hydromorphone hydrochloride  
注射薬
溶媒内の安定性 混合時の安定性 安定性に影響する因子 互換性 投与経路 引用文献 PDF
   化学構造  

商品名   商品名     

商品名、賦形剤は国、製薬会社ごとに異なることがあります

Dilaudid アメリカ, カナダ
Hydal オーストリア
Palladon スイス, デンマーク
Palladone イギリス
投与経路   投与経路 :Hydromorphone hydrochloride     
経路
静脈内
点滴静注
筋肉注射
皮下
皮下注射

  Mentions Légales