Poslední aktualizace :
18/03/2026
Analgetikas   Hydromorphone hydrochloride  
Įpurškimas
Tirpalų stabilumas Mišinių stabilumas Stabilumą lemiantys veiksniai Suderinamumas Leidimo būdai Bibliografija pdf
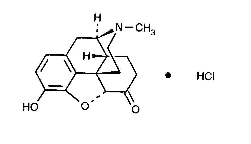
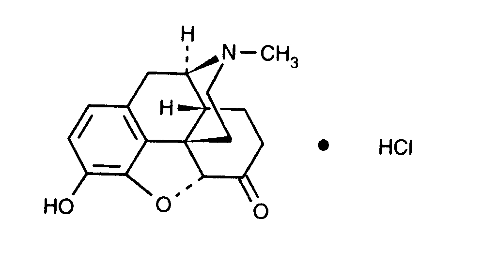
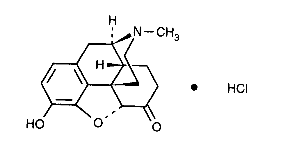
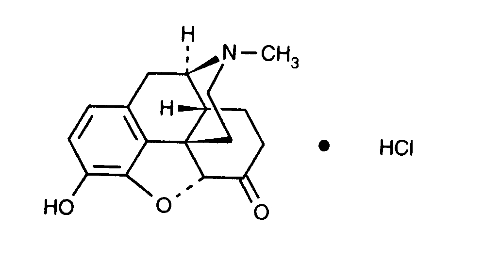
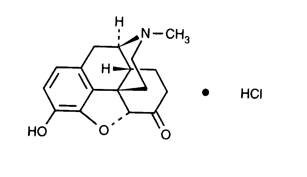
   Cheminė sandara  

Prekinis pavadinimas   Prekinis pavadinimas     

Trade names are indicative and excipients composition can be different depending on the country and manufacturers

Dilaudid Jungtinės Amerikos Valstijos, Kanada
Hydal Austrija
Palladon Danija, Šveicarija
Palladone Didžioji Britanija
Leidimo būdai   Leidimo būdai :Hydromorphone hydrochloride     
Voie
Intraveninis
Intraveninė infuzija
Intramuskulinis
Švirkščiamas po oda
Poodinė infuzija

  Mentions Légales