Последно актуализиране :
18/03/2026
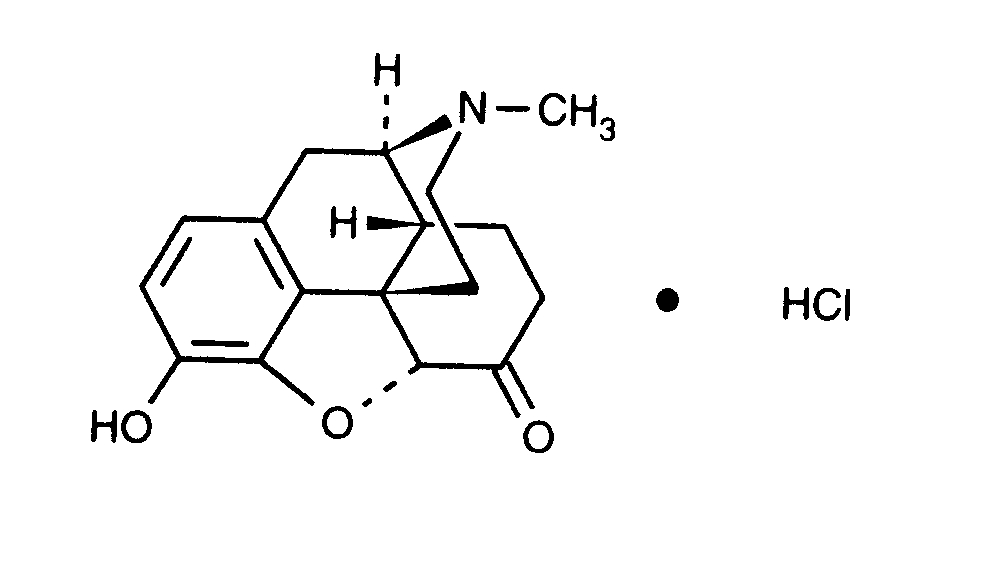
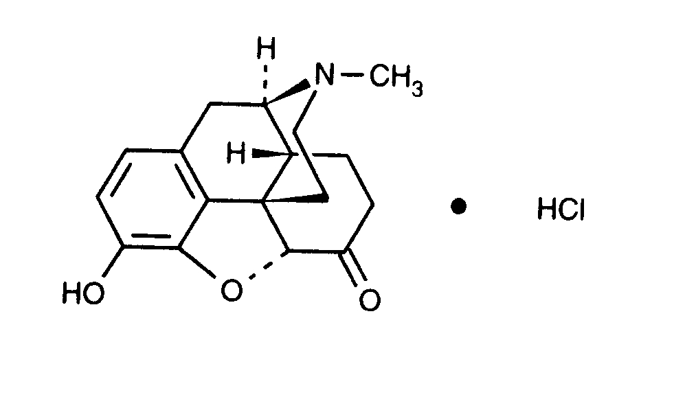
Аналгетик   Hydromorphone hydrochloride  
Инжекция/Инжекционен
Стабилност на разтвори Стабилност на смеси Фактори, повлияващи стабилността Съвместимост Път на въвеждане Библиография Pdf
   Химична структура  

Търговско наименование   Търговско наименование     

Търговските имена са примерни и съставът на помощните вещества може да бъде различен в зависимост от държавата и лабораториите

Dilaudid Канада, Съединени Американски щати / САЩ
Hydal Австрия
Palladon Дания, Швейцария
Palladone Великобритания
Път на въвеждане   Път на въвеждане :Hydromorphone hydrochloride     
Voie
Интравенозно
Интравенозна инфузия
Интрамускулно
Подкожна
Подкожна инфузия

  Mentions Légales