viimane versioon :
27/11/2025
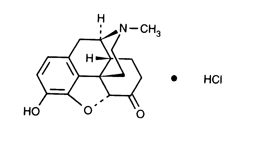
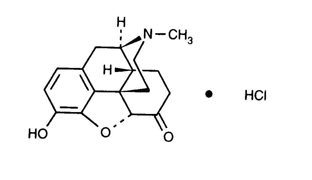
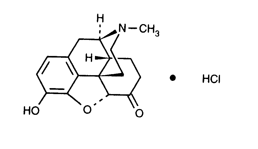
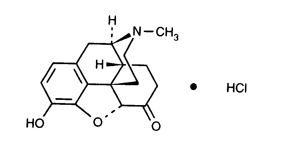
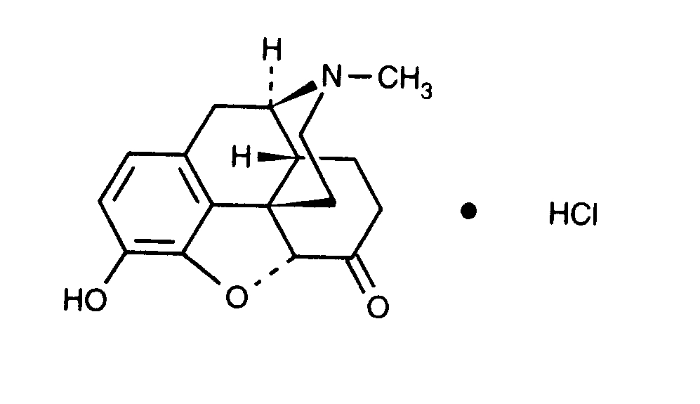
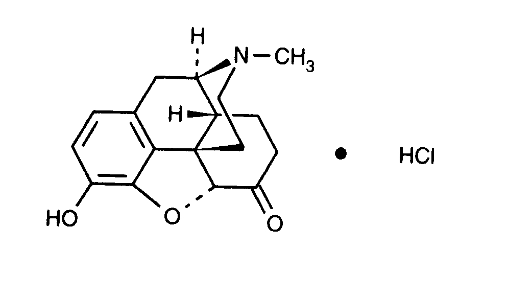
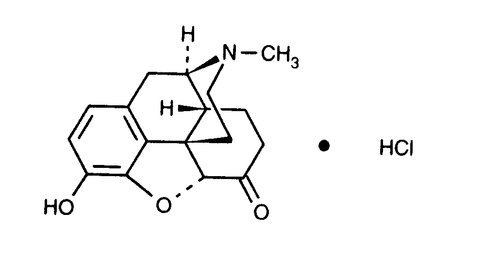
analgeetikum   Hydromorphone hydrochloride  
Süsteravim
Stabiilsus lahustes Stabiilsust mõjutavad tegurid stabiilsust mõjutavad faktorid Sobimatus Manustamis viis Viited pdf
   keemiline struktuur  

Kaubanduslikud nimed erinevates maades   Kaubanduslikud nimed erinevates maades     

Preparaatide nimed on näitlikud ja abianete sisaldus võib erineda sõltuvalt riigist ja laborist

Dilaudid Ameerika ühendriigid, Kanada
Hydal Austria
Palladon Sveits, Taani
Palladone Suurbritannia
Manustamis viis   Manustamis viis :Hydromorphone hydrochloride     
Voie
intravenoosne
intravenoosne infusioon
intramuskulaarne
subkutaanne
subkutaanne infusioon

  Mentions Légales