Seneste opdatering :
27/11/2025
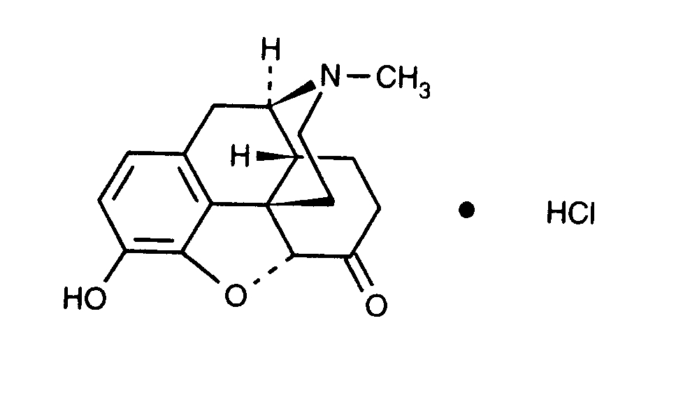
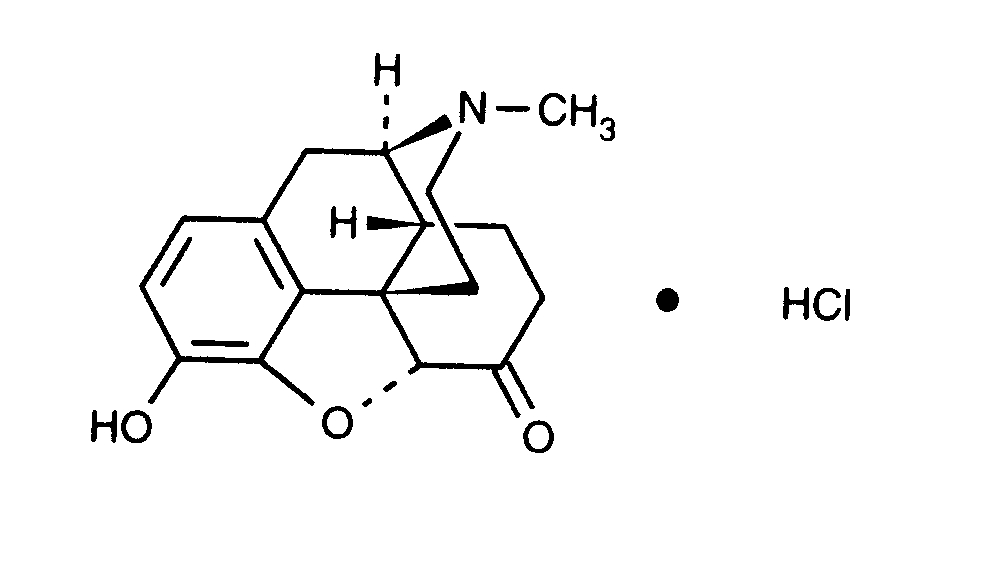
Analgetisk   Hydromorphone hydrochloride  
Injektion
Stabilitet i (vandige) opløsninger Stabilitet i blandinger Faktorer der påvirker stabiliteten Kompatibilitet Administrationsvej Bibliografi pdf
   Kemisk struktur  

Handelsnavn   Handelsnavn     

Handel navne er vejledende og hjælpestoffer sammensætning kan være forskellig afhængigt af landet og laboratorier

Dilaudid Canada, USA
Hydal Østrig
Palladon Danmark, Schweiz
Palladone Storbritanien
Administrationsvej   Administrationsvej :Hydromorphone hydrochloride     
Voie
Intravenøs
Intravenøs infusion
Intramuskulær
Subcutan
Subcutan infusion

  Mentions Légales