Última actualización :
18/03/2026
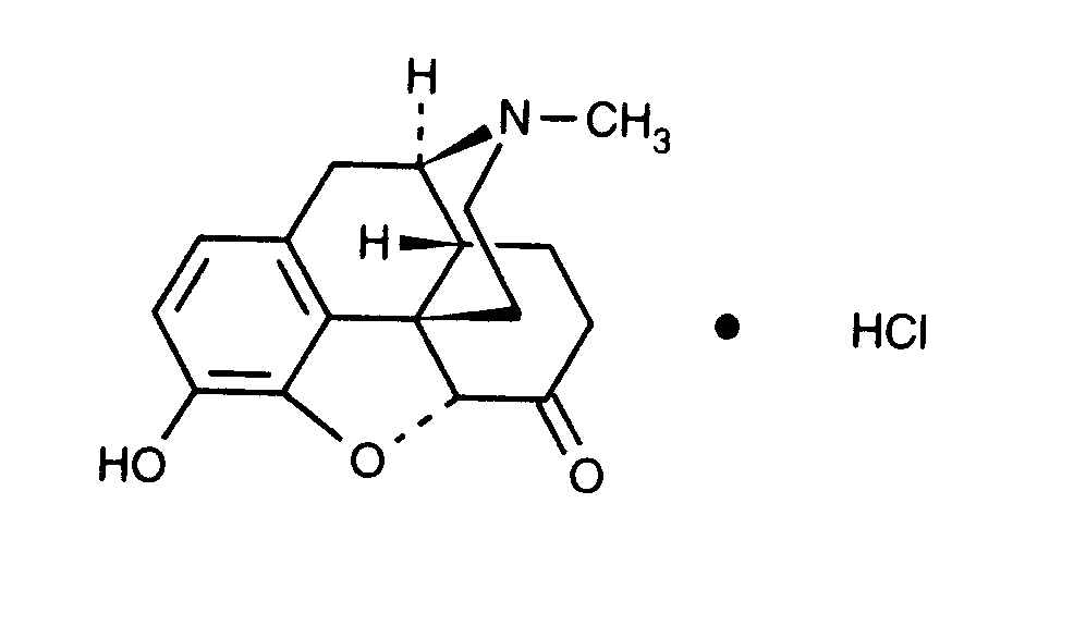
Antálgico   Hydromorphone hydrochloride  
Inyectables
Estabilidad en solucion Estabilidad en mezcla Factores que influyen sobre la estabilidad Compatibilidades método de inyección Bibliografía pdf
   Estructura química  

Nombre comercial   Nombre comercial     

Los nombres comerciales son orientativos y los excipientes de la formulación pueden ser distintos dependiendo del país y del laboratorio fabricante.

Dilaudid Canadá, Estados Unidos de América
Hydal Austria
Palladon Dinamarca, Suiza
Palladone Gran Bretaña
método de inyección   método de inyección :Hydromorphone hydrochloride     
Voie
Intravenoso
Perfusión intravenosa
Intramuscular
Subcutánea
Perfusión subcutánea

  Mentions Légales