Ultimo aggiornamento :
18/03/2026
Antalgico   Hydromorphone hydrochloride  
Iniezione
Stabilità in soluzione Stabilità in miscela Fattori che influenzano la stabilità Compatibilità metodo di iniezione Bibliografia pdf
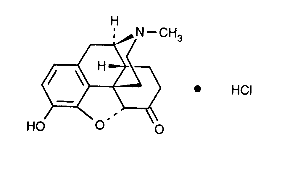
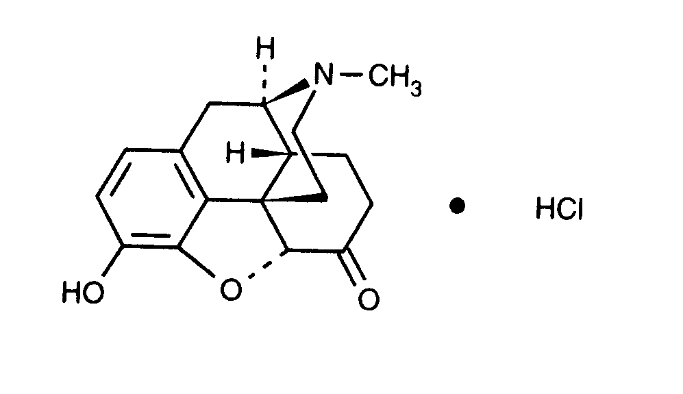
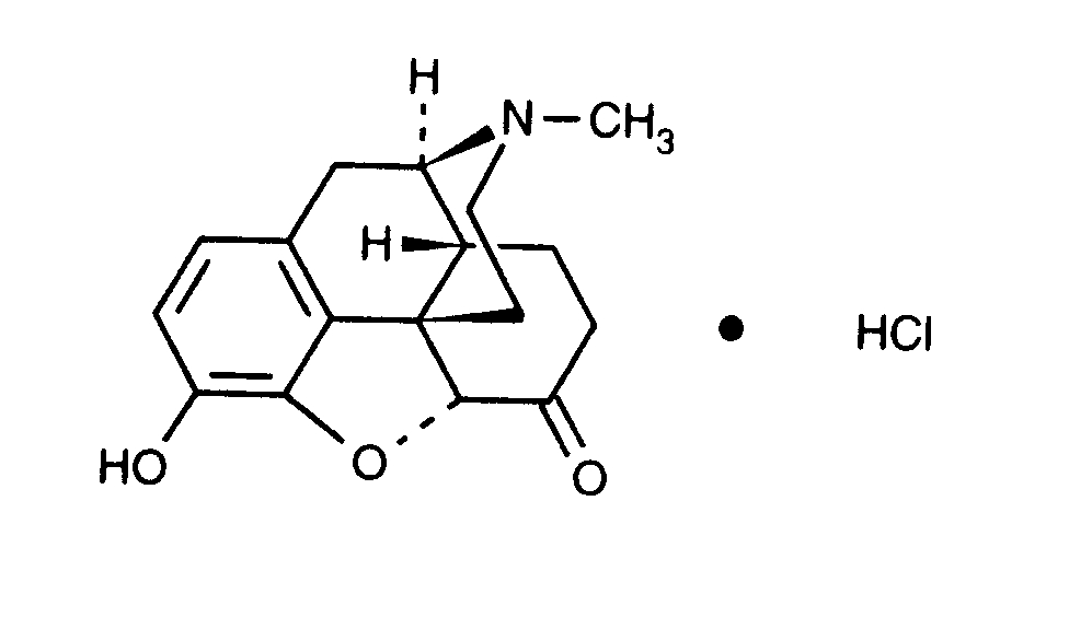
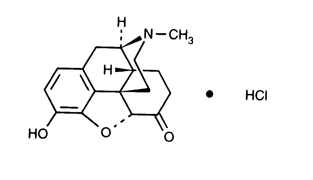
   Struttura chimica  

Nome commerciale   Nome commerciale     

Trade names are indicative and excipients composition can be different depending on the country and manufacturers

Dilaudid Canada, Stati Uniti d’America
Hydal Austria
Palladon Danimarca, Svizzera
Palladone Gran Bretagna
metodo di iniezione   metodo di iniezione :Hydromorphone hydrochloride     
Voie
Endovenosa
Flebo endovenosa
Intramuscolare
Sottocutanea
Flebo sottocutanea

  Mentions Légales