Letztes “update” :
27/11/2025
Analgetikum   Hydromorphone hydrochloride  
Injektion
Stabilität der Lösung Gemengestabilität Stabilitätbeeinflussende Faktoren Kompatibilitäten Applikationsart Literaturverzeichnis pdf
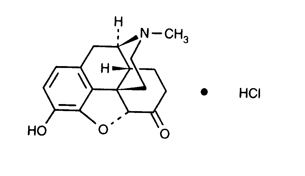
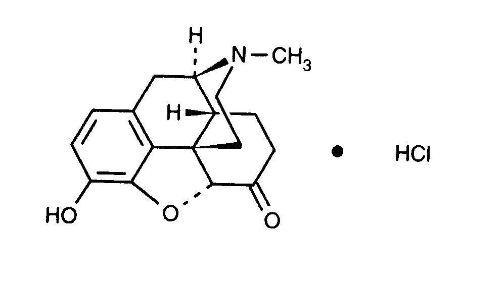
   Chemische Struktur  

Handelsmarke   Handelsmarke     

Handelsnamen sind als beispielhaft anzusehen. Sonstige Bestandteile können je nach Hersteller oder Land verschieden sein

Dilaudid Kanada, Vereinigte Staaten von Amerika
Hydal Österreich
Palladon Dänemark, Schweiz
Palladone Großbritannien
Applikationsart   Applikationsart :Hydromorphone hydrochloride     
Verabreichung
Intravenös
Intravenöse Perfusion
Intramuskulär
Subkutan
Subkutane Perfusion

  Mentions Légales