Zadnji put ažurirano :
27/11/2025
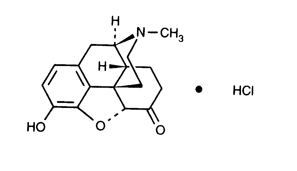
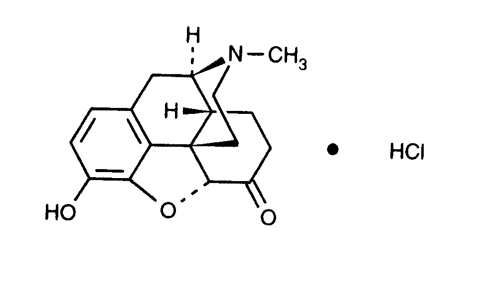
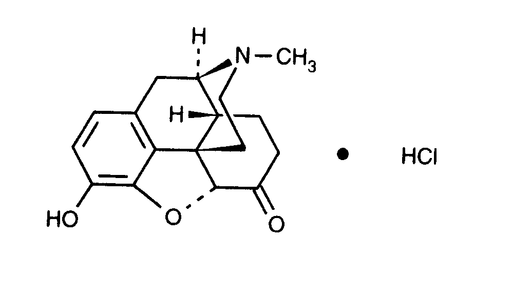
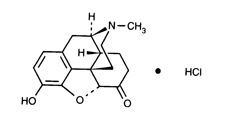
analgetik   Hydromorphone hydrochloride  
injekcija
Stabilizacija rješenja Stabilnost mješavine Stabilizacijski faktor Kompatibilnosti način davanja lijeka Bibliografija pdf
   Kemijska struktura  

Nekomercijalni   Nekomercijalni     

Zaštićeni nazivi su indikativni i sastav ekscipijensa može biti različit ovisno o državi i laboratorijima

Dilaudid Kanada, S A D
Hydal Austrija
Palladon Danska, Švicarska
Palladone Velika Britanija
način davanja lijeka   način davanja lijeka :Hydromorphone hydrochloride     
Voie
intravenozno
intravenozna infuzija
intramuskularni
subkutani
subkutana infuzija

  Mentions Légales