Ultimele actualizari :
27/11/2025
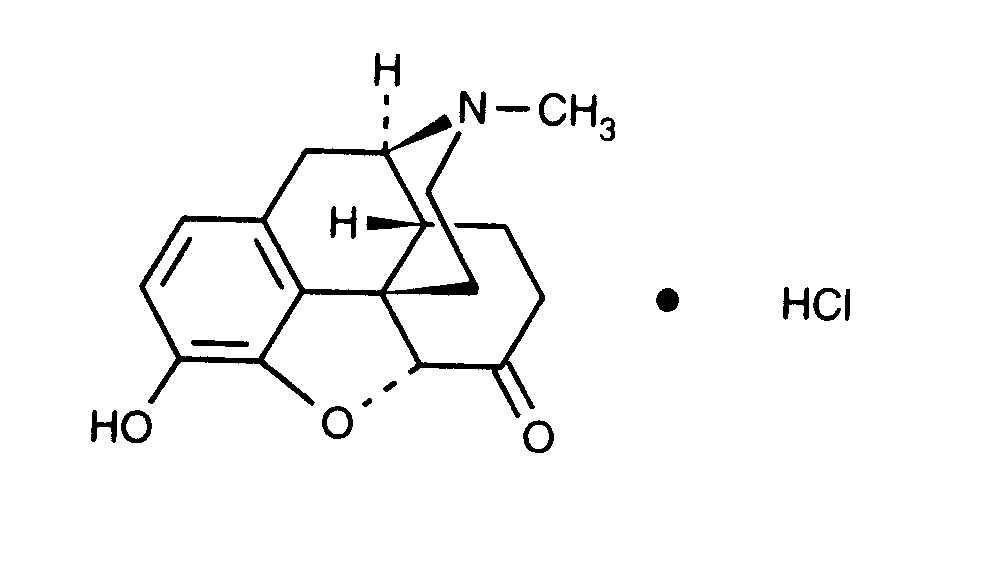
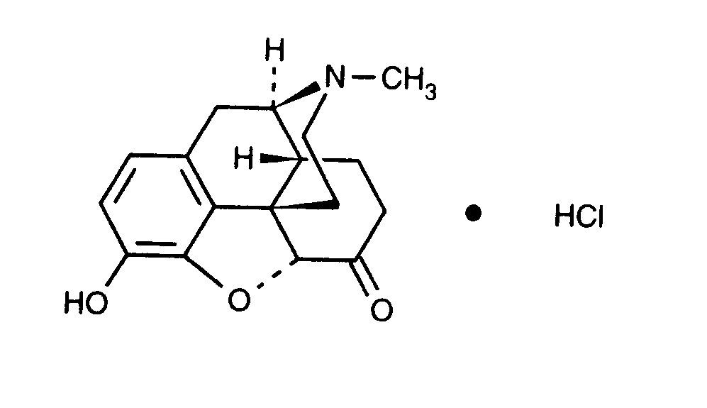
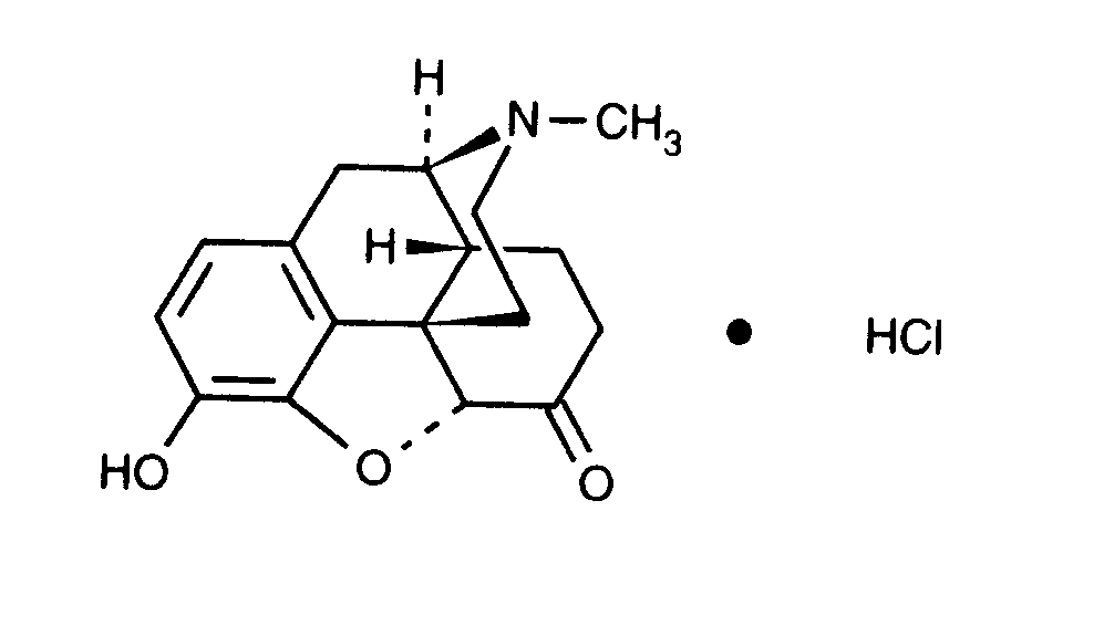
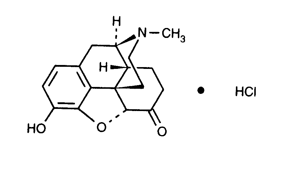
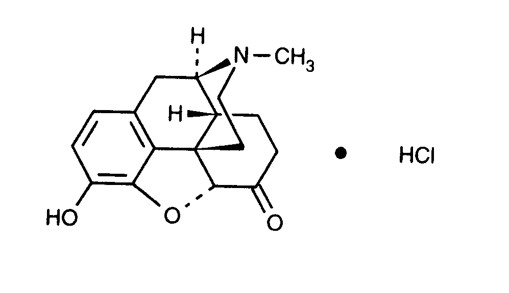
Antialgic   Hydromorphone hydrochloride  
Injectabil
Stabilitatea in solutie Stabilitatea in amestec Factorii care influenteaza stabilitatea Compatibilitate Microunde Bibliografie pdf
   Formula chimica  

Denumirea comerciala   Denumirea comerciala     

Trade names are indicative and excipients composition can be different depending on the country and manufacturers

Dilaudid Canada, SUA
Hydal Austria
Palladon Danemarca, Elvetia
Palladone Marea Britanie
Microunde   Microunde :Hydromorphone hydrochloride     
Voie
Intravenos
Perfuzie intravenoasa
Intra-muscular
sub-cutanat
Perfuzie in sub-cutanat

  Mentions Légales