Останнє оновлення :
31/03/2026
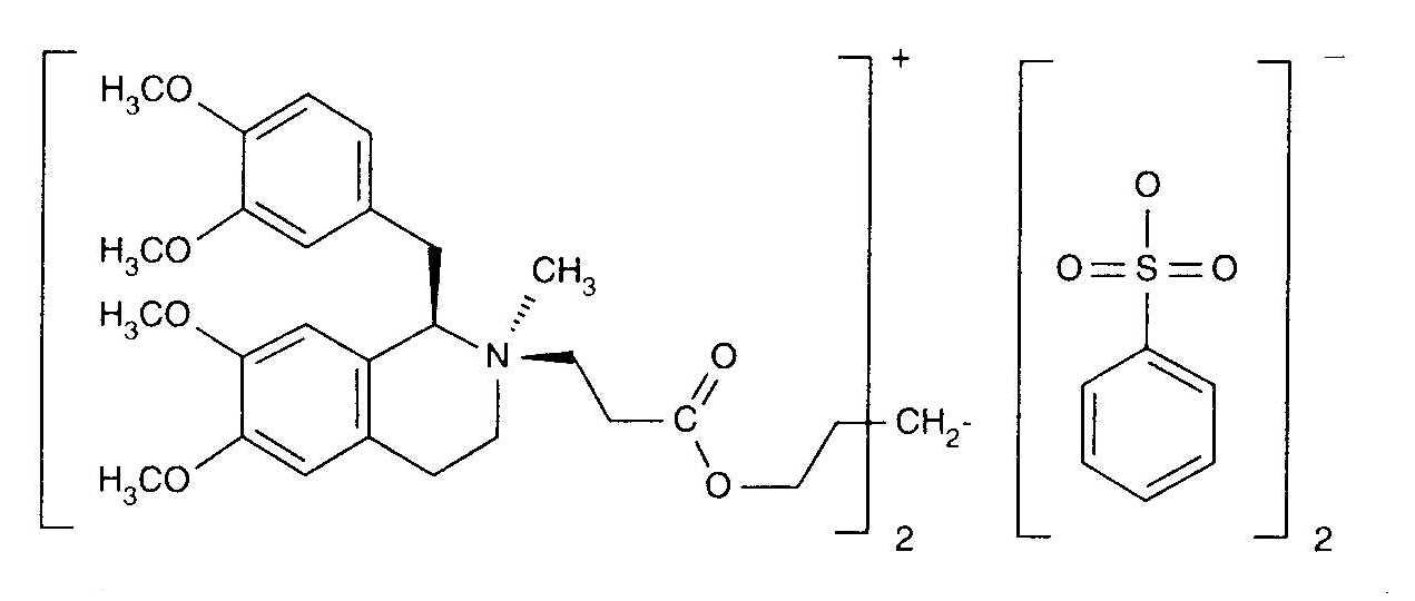
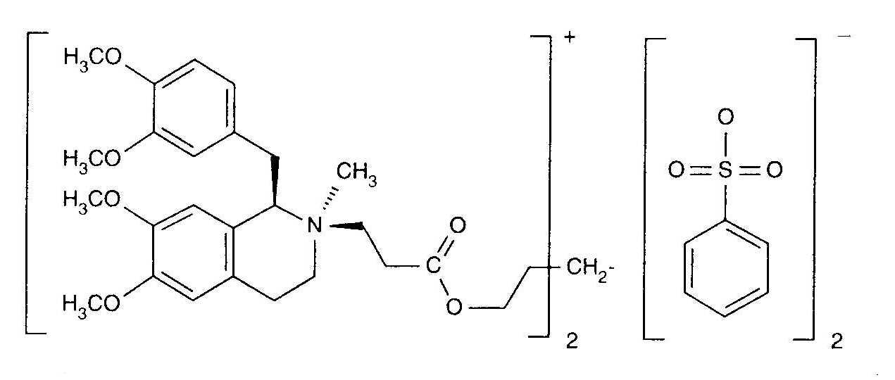
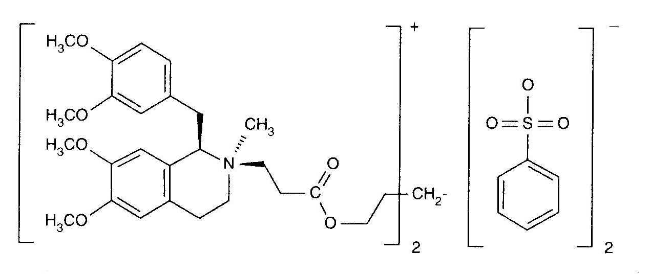
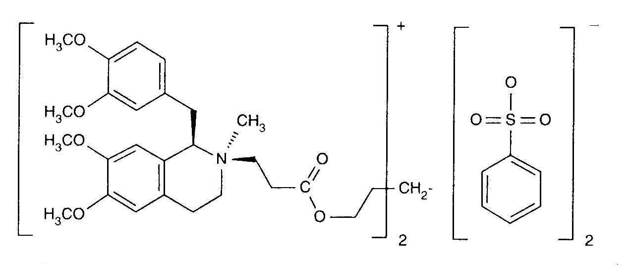
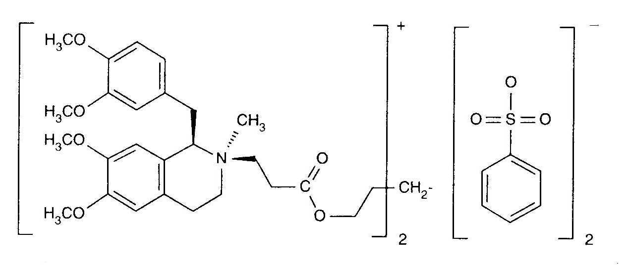
Курариміметик   Cisatracurium besylate  
ін'єкція
Стійкість в розчинах Стійкість сумішей Фактори, що впливають на стабільність Сумісність Шлях введення Список літератури pdf
   Хімічна структура  

Торгова назва   Торгова назва     

Торгові назви є орієнтовними, а склад допоміжних речовин може бути різним залежно від країни та виробника

Bensitrak Мексика
Besilato de cisatracurio
Cicuryl Мексика
Cirium Колумбія
Cis Atracure
Cisatracurio Іспанія, Італія, Бразилія, Еквадор, Колумбія, Перу, Чилі
Cisatracurium Ірландія, Бельгія, Великобританія, Канада, Німеччина, Туніс, Угорщина, Фінляндія, Франція
Nimbex Єгипет, Іран, Ірландія, Іспанія, Італія, Австрія, Бельгія, Великобританія, Венесуела, Греція, Данія, Еквадор, Канада, Люксембург, Малайзія, Мексика, Нідерланди, Німеччина, Норвегія, Об'єднані Арабські Емірати, Перу, Польща, Португалія, Саудівська Аравія, Словенія, Сполучені Штати Америки, Туніс, Туреччина, Угорщина, Фінляндія, Франція, Чилі, Швеція
Nimbium Бразилія, Колумбія
Стійкість в розчинах   ін'єкція   Стійкість в розчинах : Cisatracurium besylate     
Контейнер Розчинник Концентрація температура Зберігання Тривалість стабільності Список літератури
скло Жодного 10 mg/ml 2-8°C Берегти від світла
450 День
4769
Рівень доказовості А+

скло Жодного 2 & 10 mg/ml 23°C Зі світлом чи без
45 День
533
Рівень доказовості А+

скло Жодного 2 & 10 mg/ml 4°C Берегти від світла
90 День
533
Рівень доказовості А+

Полівініл хлорид Натрію хлорид 0,9% 0,1 & 2 & 5 mg/ml 4°C Берегти від світла
30 День
533
Рівень доказовості А+

Полівініл хлорид Натрію хлорид 0,9% 5 mg/ml 23°C Зі світлом чи без
30 День
533
Рівень доказовості А+

Полівініл хлорид Глюкоза 5% 0,1 & 2 & 5 mg/ml 4°C Берегти від світла
30 День
533
Рівень доказовості А+

Полівініл хлорид Глюкоза 5% 5 mg/ml 23°C Зі світлом чи без
30 День
533
Рівень доказовості А+

Поліолефін Натрію хлорид 0,9% 0,1 mg/ml 23-27°C Не визначено
48 годину
4358
Рівень доказовості C+

Поліолефін Натрію хлорид 0,9% 0,1 mg/ml 4-6°C Не визначено
7 День
4358
Рівень доказовості C+

Поліолефін Глюкоза 5% 0,1 mg/ml 23-27°C Не визначено
24 годину
4358
Рівень доказовості C+

Поліолефін Глюкоза 5% 0,1 mg/ml 4-6°C Не визначено
7 День
4358
Рівень доказовості C+

Поліпропіленовий шприц Натрію хлорид 0,9% 0,1 mg/ml 23-27°C Не визначено
2 День
4358
Рівень доказовості C+

Поліпропіленовий шприц Натрію хлорид 0,9% 0,1 mg/ml 4-6°C Не визначено
7 День
4358
Рівень доказовості C+

Поліпропіленовий шприц Глюкоза 5% 0,1 mg/ml 23-27°C Не визначено
2 День
4358
Рівень доказовості C+

Поліпропіленовий шприц Глюкоза 5% 0,1 mg/ml 4-6°C Не визначено
2 День
4358
Рівень доказовості C+

Поліпропіленовий шприц Жодного 2 mg/ml 23-27°C Не визначено
7 День
4358
Рівень доказовості C+

Поліпропіленовий шприц Жодного 2 mg/ml 23°C Зі світлом чи без
30 День
533
Рівень доказовості А+

Поліпропіленовий шприц Жодного 2 mg/ml 4-6°C Не визначено
7 День
4358
Рівень доказовості C+

Поліпропіленовий шприц Жодного 2 mg/ml 4°C Берегти від світла
30 День
533
Рівень доказовості А+

Поліпропіленовий шприц Жодного 5 mg/ml 23-27°C Не визначено
7 День
4358
Рівень доказовості C+

Поліпропіленовий шприц Жодного 5 mg/ml 4-6°C Не визначено
7 День
4358
Рівень доказовості C+


  Mentions Légales