Последнее обновление :
27/04/2026
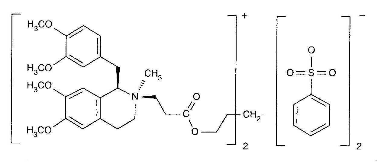
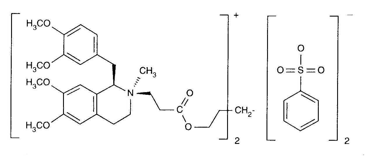
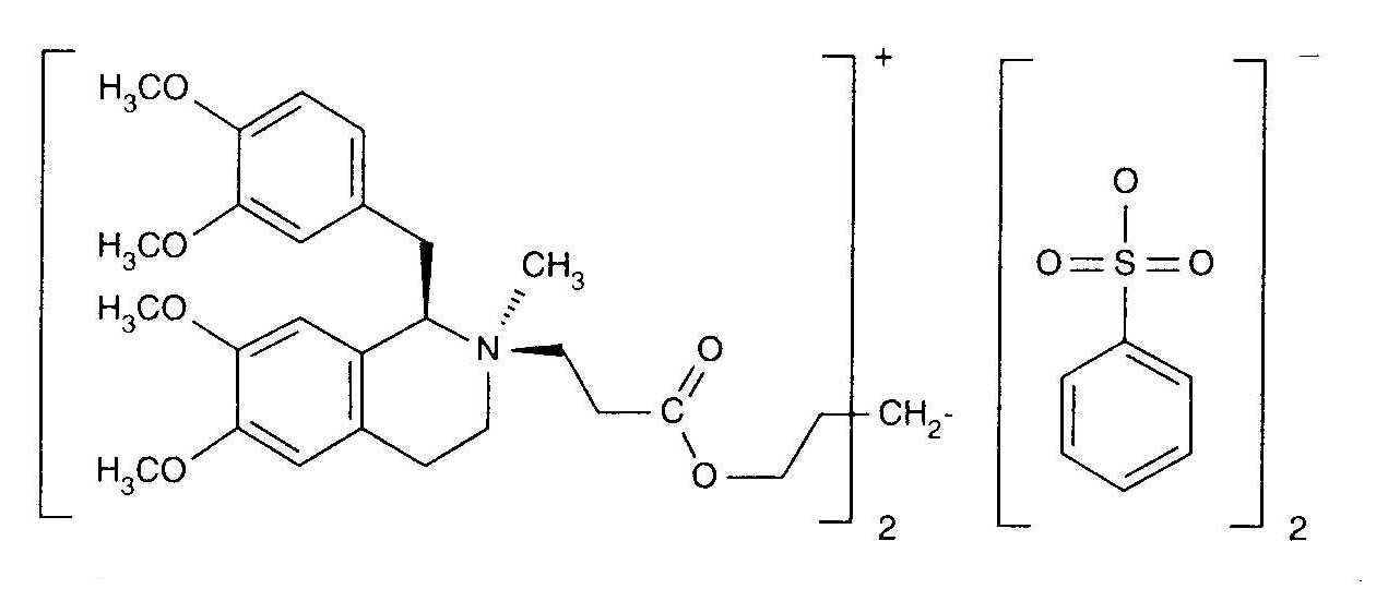
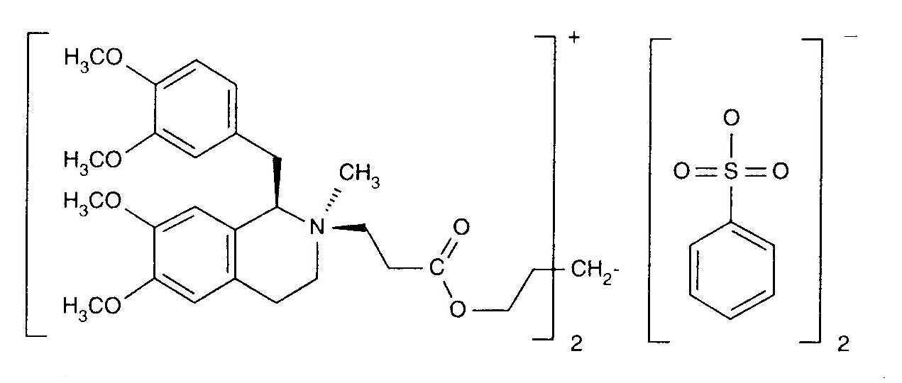
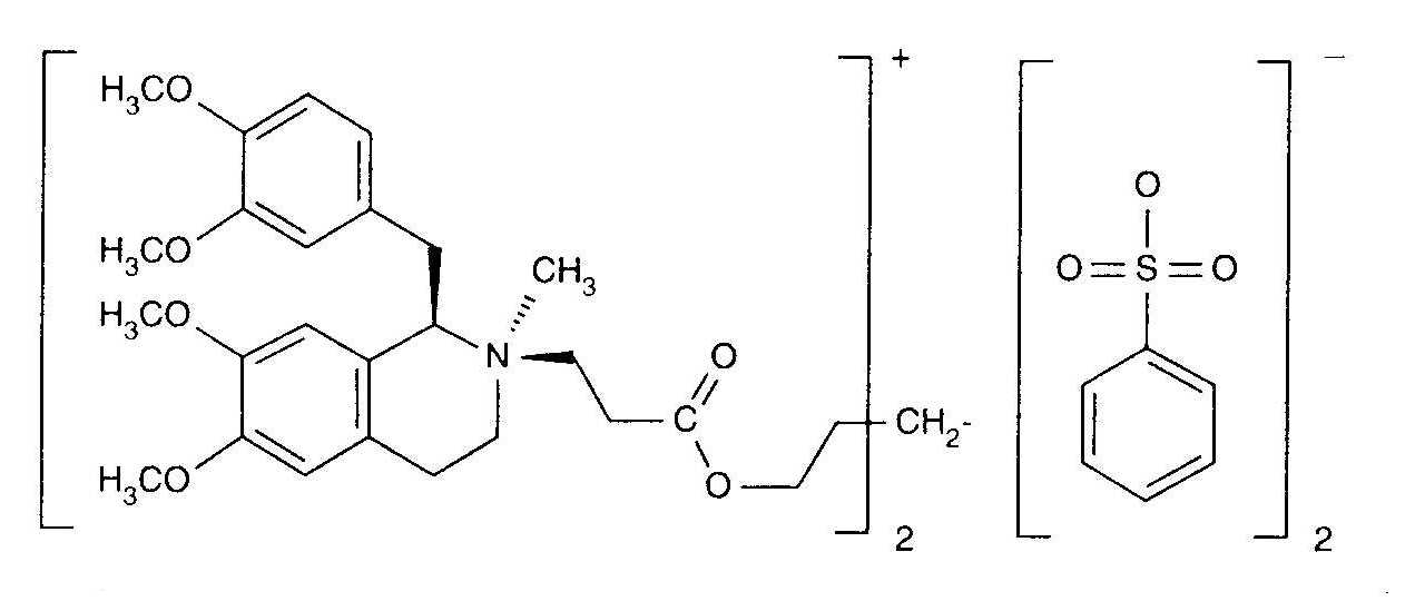
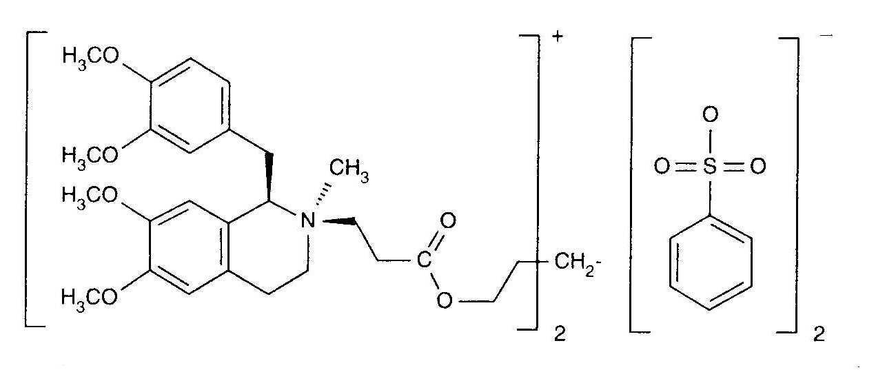
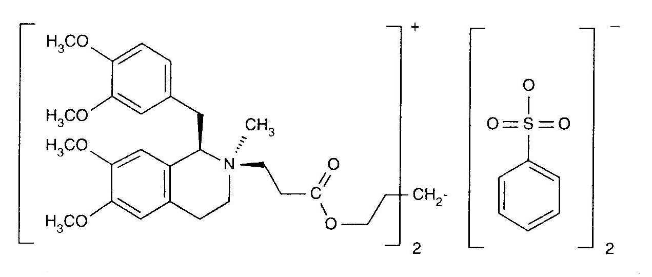
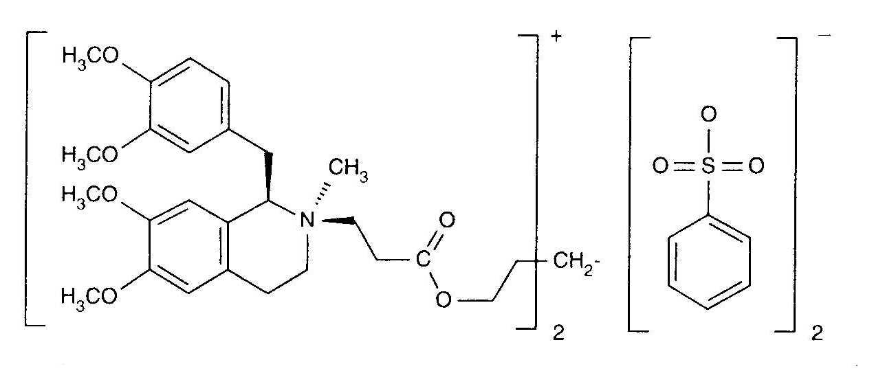
Кураримиметик   Cisatracurium besylate  
Инъекция
Стабильность растворов Стабильность смесей Факторы, которые влияют на стабильность Совместимость Способы введения Библиография pdf
   Химическая структура  

Товарное название   Товарное название     

Trade names are indicative and excipients composition can be different depending on the country and manufacturers

Bensitrak Мексика
Besilato de cisatracurio
Cicuryl Мексика
Cirium Колумбия
Cis Atracure
Cisatracurio Бразилия, Испания, Италия, Колумбия, Перу, чили, Эквадор
Cisatracurium Бельгия, Великобритания, Венгрия, Германия, Ирландия, Канада, Тунис, Финляндия, Франция
Nimbex Австрия, Бельгия, Великобритания, Венгрия, Венесуэла, Германия, Голландия, Греция, Дания, Египет, Иран, Ирландия, Испания, Италия, Канада, Люксембург, Малайзия, Мексика, Норвегия, Объединенные Арабские Эмираты, Перу, Польша, Португалия, Саудовская Аравия, Словения, Соединённые Штаты Америки, Тунис, Турция, Финляндия, Франция, чили, Швеция, Эквадор
Nimbium Бразилия, Колумбия
Стабильность растворов   Инъекция   Стабильность растворов : Cisatracurium besylate     
Упаковка Растворитель Концентрация Температура Хранение Продолжительность стабильности Ссылки
Стекло Нет 10 mg/ml 2-8°C Защищён от света
450 День
4769
Уровень доказательности A +

Стекло Нет 2 & 10 mg/ml 23°C И на свету и в темноте
45 День
533
Уровень доказательности A +

Стекло Нет 2 & 10 mg/ml 4°C Защищён от света
90 День
533
Уровень доказательности A +

Поливинилхлорид Натрия хлорид 0,9% 0,1 & 2 & 5 mg/ml 4°C Защищён от света
30 День
533
Уровень доказательности A +

Поливинилхлорид Натрия хлорид 0,9% 5 mg/ml 23°C И на свету и в темноте
30 День
533
Уровень доказательности A +

Поливинилхлорид Глюкоза 5% 0,1 & 2 & 5 mg/ml 4°C Защищён от света
30 День
533
Уровень доказательности A +

Поливинилхлорид Глюкоза 5% 5 mg/ml 23°C И на свету и в темноте
30 День
533
Уровень доказательности A +

Полиолефин Натрия хлорид 0,9% 0,1 mg/ml 23-27°C Не указано
48 Час
4358
Уровень доказательности C+

Полиолефин Натрия хлорид 0,9% 0,1 mg/ml 4-6°C Не указано
7 День
4358
Уровень доказательности C+

Полиолефин Глюкоза 5% 0,1 mg/ml 23-27°C Не указано
24 Час
4358
Уровень доказательности C+

Полиолефин Глюкоза 5% 0,1 mg/ml 4-6°C Не указано
7 День
4358
Уровень доказательности C+

Шприц полипропилен Натрия хлорид 0,9% 0,1 mg/ml 23-27°C Не указано
2 День
4358
Уровень доказательности C+

Шприц полипропилен Натрия хлорид 0,9% 0,1 mg/ml 4-6°C Не указано
7 День
4358
Уровень доказательности C+

Шприц полипропилен Глюкоза 5% 0,1 mg/ml 23-27°C Не указано
2 День
4358
Уровень доказательности C+

Шприц полипропилен Глюкоза 5% 0,1 mg/ml 4-6°C Не указано
2 День
4358
Уровень доказательности C+

Шприц полипропилен Нет 2 mg/ml 23-27°C Не указано
7 День
4358
Уровень доказательности C+

Шприц полипропилен Нет 2 mg/ml 23°C И на свету и в темноте
30 День
533
Уровень доказательности A +

Шприц полипропилен Нет 2 mg/ml 4-6°C Не указано
7 День
4358
Уровень доказательности C+

Шприц полипропилен Нет 2 mg/ml 4°C Защищён от света
30 День
533
Уровень доказательности A +

Шприц полипропилен Нет 5 mg/ml 23-27°C Не указано
7 День
4358
Уровень доказательности C+

Шприц полипропилен Нет 5 mg/ml 4-6°C Не указано
7 День
4358
Уровень доказательности C+


  Mentions Légales