Zadnji put ažurirano :
17/12/2025
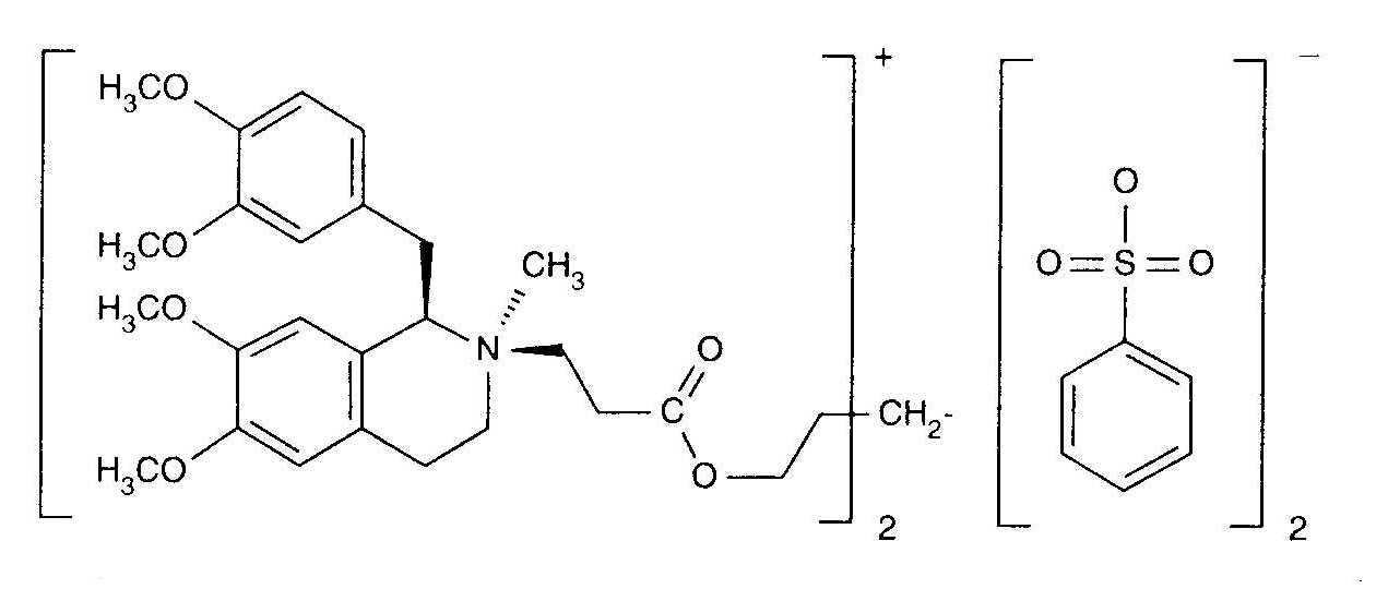
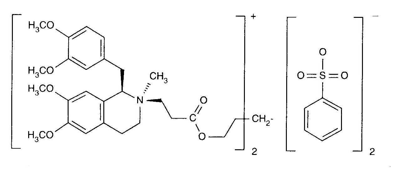
narkotizirajuće djelovanje pomoću kurarina   Cisatracurium besylate  
injekcija
Stabilizacija rješenja Stabilnost mješavine Stabilizacijski faktor Kompatibilnosti način davanja lijeka Bibliografija pdf
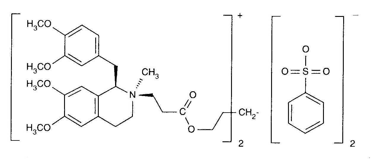
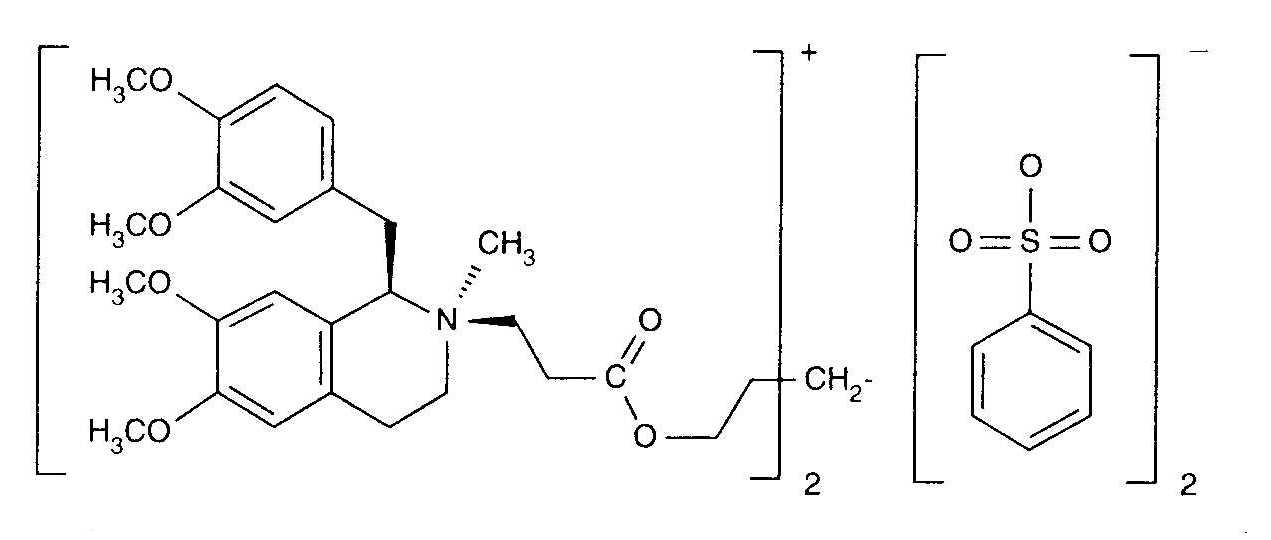
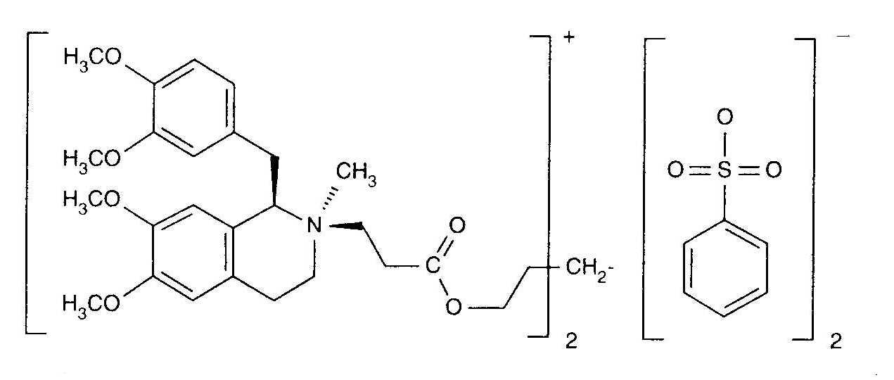
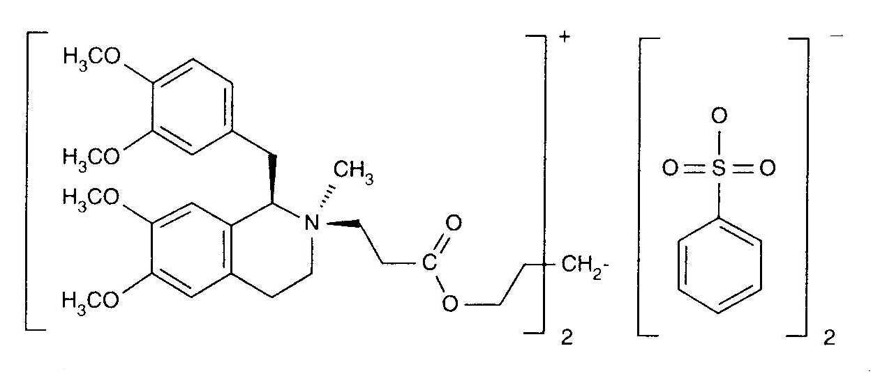
   Kemijska struktura  

Nekomercijalni   Nekomercijalni     

Zaštićeni nazivi su indikativni i sastav ekscipijensa može biti različit ovisno o državi i laboratorijima

Bensitrak Meksiko
Besilato de cisatracurio
Cicuryl Meksiko
Cirium Kolumbija
Cis Atracure
Cisatracurio Brazil, Čile, Ekvador, Italija, Kolumbija, Peru, Španjolska
Cisatracurium Belgija, Finska, Francuska, Irska, Kanada, Madžarska, Njemačka, Tunis, Velika Britanija
Nimbex Austrija, Belgija, Čile, Danska, Egipat, Ekvador, Finska, Francuska, Grčka, Iran, Irska, Italija, Kanada, Luksemburg, Madžarska, Malezija, Meksiko, Nizozemska, Njemačka, Norveška, Peru, Poljska, Portugal, S A D, Saudijska Arabija, Slovenija, Španjolska, Švedska, Tunis, Turska, Ujedinjeni Arapski Emirati, Velika Britanija, Venecuela
Nimbium Brazil, Kolumbija
Stabilizacija rješenja   injekcija   Stabilizacija rješenja : Cisatracurium besylate     
Kontejner sredstvo za rastapanje koncentracija temperatura Konzerviranje Trajanje stabilnosti Bibliografija
čaša nijedan 10 mg/ml 2-8°C Zaštićeno od svjetlosti
450 dan
4769
Razina dokaza A+

čaša nijedan 2 & 10 mg/ml 23°C Sa i bez svjetlosti
45 dan
533
Razina dokaza A+

čaša nijedan 2 & 10 mg/ml 4°C Zaštićeno od svjetlosti
90 dan
533
Razina dokaza A+

polivinilklorid natrijumkorid 0,9% 0,1 & 2 & 5 mg/ml 4°C Zaštićeno od svjetlosti
30 dan
533
Razina dokaza A+

polivinilklorid natrijumkorid 0,9% 5 mg/ml 23°C Sa i bez svjetlosti
30 dan
533
Razina dokaza A+

polivinilklorid glukoza 5% 0,1 & 2 & 5 mg/ml 4°C Zaštićeno od svjetlosti
30 dan
533
Razina dokaza A+

polivinilklorid glukoza 5% 5 mg/ml 23°C Sa i bez svjetlosti
30 dan
533
Razina dokaza A+

poliolefin natrijumkorid 0,9% 0,1 mg/ml 23-27°C nespecifičan
48 sat
4358
Razina dokaza C+

poliolefin natrijumkorid 0,9% 0,1 mg/ml 4-6°C nespecifičan
7 dan
4358
Razina dokaza C+

poliolefin glukoza 5% 0,1 mg/ml 23-27°C nespecifičan
24 sat
4358
Razina dokaza C+

poliolefin glukoza 5% 0,1 mg/ml 4-6°C nespecifičan
7 dan
4358
Razina dokaza C+

špric polipropilen natrijumkorid 0,9% 0,1 mg/ml 23-27°C nespecifičan
2 dan
4358
Razina dokaza C+

špric polipropilen natrijumkorid 0,9% 0,1 mg/ml 4-6°C nespecifičan
7 dan
4358
Razina dokaza C+

špric polipropilen glukoza 5% 0,1 mg/ml 23-27°C nespecifičan
2 dan
4358
Razina dokaza C+

špric polipropilen glukoza 5% 0,1 mg/ml 4-6°C nespecifičan
2 dan
4358
Razina dokaza C+

špric polipropilen nijedan 2 mg/ml 23-27°C nespecifičan
7 dan
4358
Razina dokaza C+

špric polipropilen nijedan 2 mg/ml 23°C Sa i bez svjetlosti
30 dan
533
Razina dokaza A+

špric polipropilen nijedan 2 mg/ml 4-6°C nespecifičan
7 dan
4358
Razina dokaza C+

špric polipropilen nijedan 2 mg/ml 4°C Zaštićeno od svjetlosti
30 dan
533
Razina dokaza A+

špric polipropilen nijedan 5 mg/ml 23-27°C nespecifičan
7 dan
4358
Razina dokaza C+

špric polipropilen nijedan 5 mg/ml 4-6°C nespecifičan
7 dan
4358
Razina dokaza C+


  Mentions Légales