Senaste uppdateringen :
17/12/2025
Muskel avslappande medel   Cisatracurium besylate  
injektion
Lösningars stabilitet Stabilitet i blandningar Faktorer som påverkar stabiliteten Kompatibilitet Administreringssätt Hänvisningar pdf
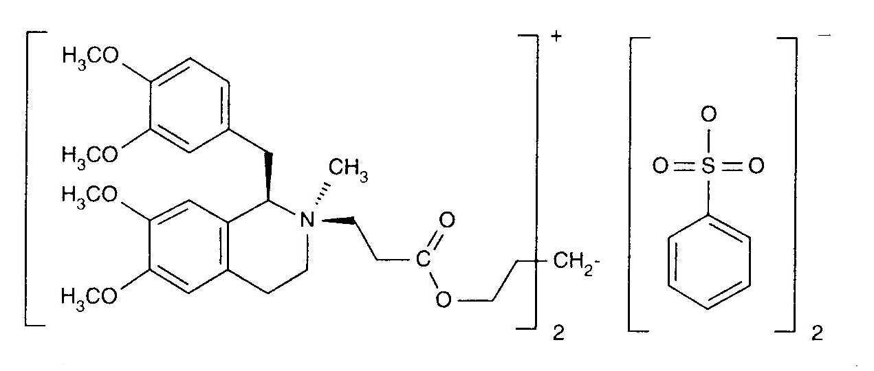
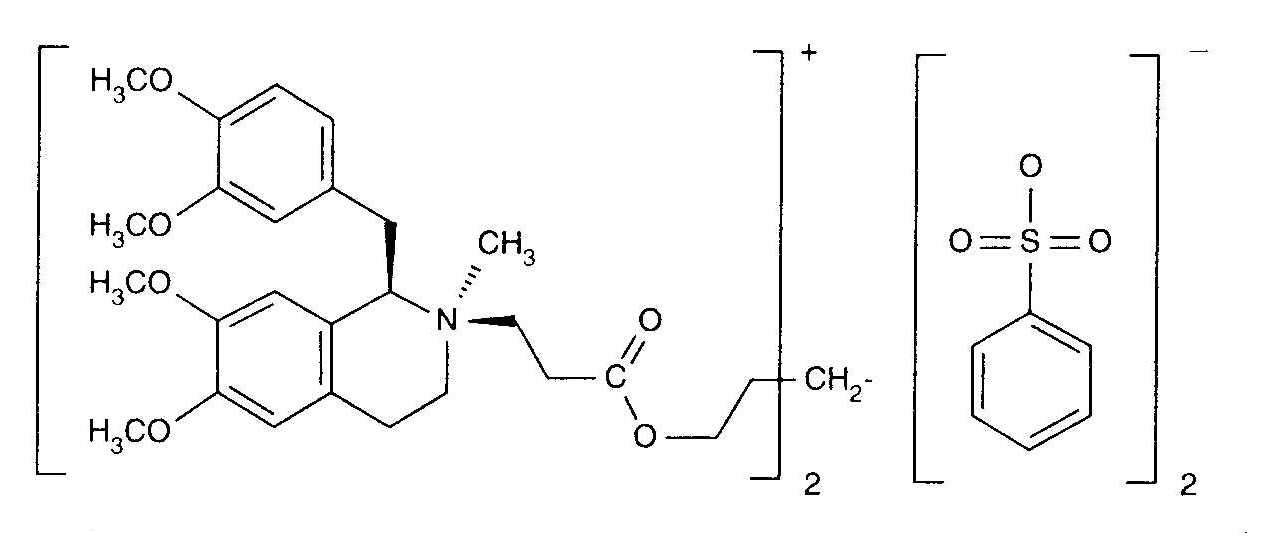
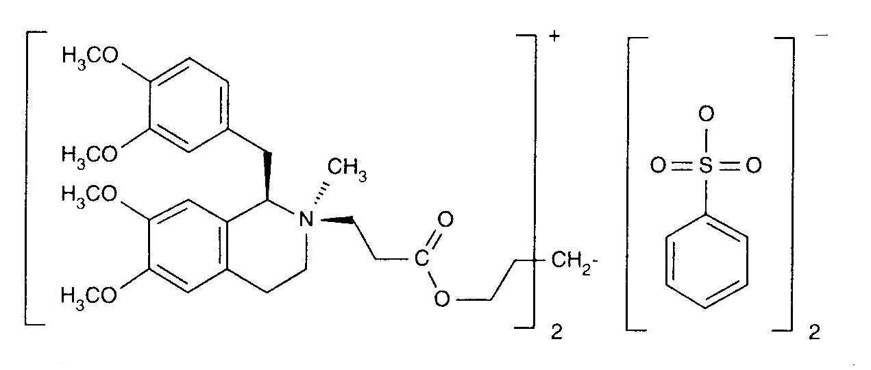
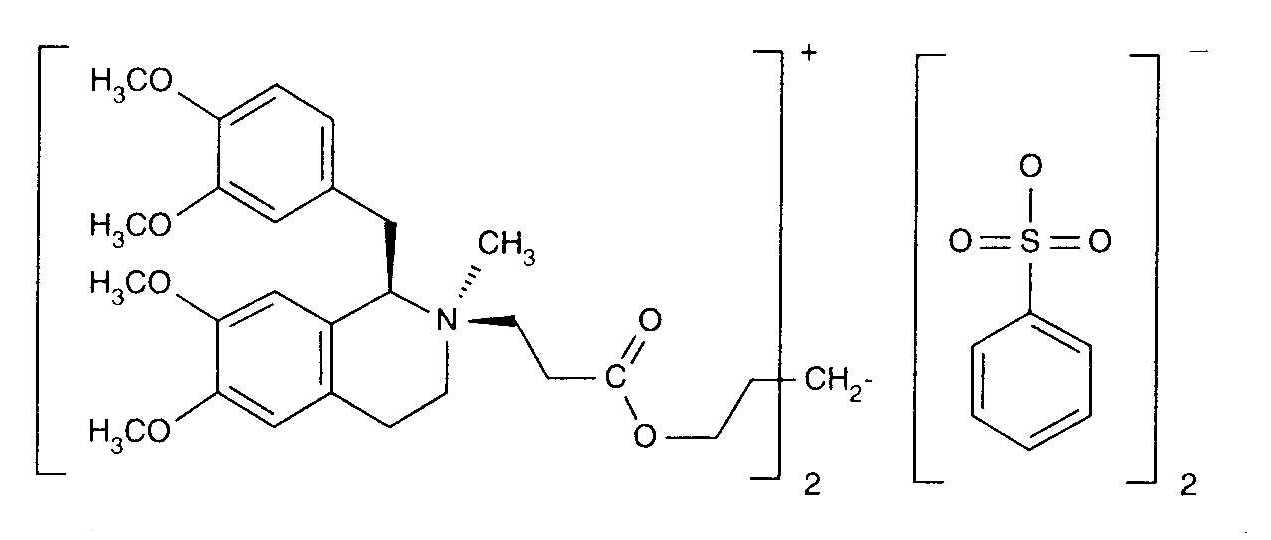
   Molekylstruktur  

Varunamn   Varunamn     

Angivna handelsnamn på läkemedel är enbart vägledande då formulering inklusive hjälpämnen kan variera mellan länder och tillverkare

Bensitrak Mexiko
Besilato de cisatracurio
Cicuryl Mexiko
Cirium Colombia
Cis Atracure
Cisatracurio Brasilien, Chile, Colombia, Ecuador, Italien, Peru, Spanien
Cisatracurium Belgien, Finland, Frankrike, Irland, Kanada, Storbritannien, Tunisien, Tyskland, Ungern
Nimbex Belgien, Chile, Danmark, Ecuador, Egypten, Finland, Förenade Arabemiraten, Förenta Staterna, Frankrike, Grekland, Iran, Irland, Italien, Kanada, Luxemburg, Malaysia, Mexiko, Nederländerna, Norge, Österrike, Peru, Polen, Portugal, Saudi-Arabien, Slovenien, Spanien, Storbritannien, Sverige, Tunisien, Turkiet, Tyskland, Ungern, Venezuela
Nimbium Brasilien, Colombia
Lösningars stabilitet   injektion   Lösningars stabilitet : Cisatracurium besylate     
Behållare Lösningsmedel Koncentration Temperatur Förvaring Stabilitets varaktighet Hänvisningar
Glas Ingen 10 mg/ml 2-8°C Skyddas från ljus
450 Dag
4769
Evidensnivå A+

Glas Ingen 2 & 10 mg/ml 23°C Med eller utan ljus
45 Dag
533
Evidensnivå A+

Glas Ingen 2 & 10 mg/ml 4°C Skyddas från ljus
90 Dag
533
Evidensnivå A+

Polyvinylklorid Natriumklorid 0,9 % 0,1 & 2 & 5 mg/ml 4°C Skyddas från ljus
30 Dag
533
Evidensnivå A+

Polyvinylklorid Natriumklorid 0,9 % 5 mg/ml 23°C Med eller utan ljus
30 Dag
533
Evidensnivå A+

Polyvinylklorid Glukos 5 % 0,1 & 2 & 5 mg/ml 4°C Skyddas från ljus
30 Dag
533
Evidensnivå A+

Polyvinylklorid Glukos 5 % 5 mg/ml 23°C Med eller utan ljus
30 Dag
533
Evidensnivå A+

Polyolefin Natriumklorid 0,9 % 0,1 mg/ml 23-27°C Ej angiven
48 Timma
4358
Evidensnivå C+

Polyolefin Natriumklorid 0,9 % 0,1 mg/ml 4-6°C Ej angiven
7 Dag
4358
Evidensnivå C+

Polyolefin Glukos 5 % 0,1 mg/ml 23-27°C Ej angiven
24 Timma
4358
Evidensnivå C+

Polyolefin Glukos 5 % 0,1 mg/ml 4-6°C Ej angiven
7 Dag
4358
Evidensnivå C+

Spruta polypropen Natriumklorid 0,9 % 0,1 mg/ml 23-27°C Ej angiven
2 Dag
4358
Evidensnivå C+

Spruta polypropen Natriumklorid 0,9 % 0,1 mg/ml 4-6°C Ej angiven
7 Dag
4358
Evidensnivå C+

Spruta polypropen Glukos 5 % 0,1 mg/ml 23-27°C Ej angiven
2 Dag
4358
Evidensnivå C+

Spruta polypropen Glukos 5 % 0,1 mg/ml 4-6°C Ej angiven
2 Dag
4358
Evidensnivå C+

Spruta polypropen Ingen 2 mg/ml 23-27°C Ej angiven
7 Dag
4358
Evidensnivå C+

Spruta polypropen Ingen 2 mg/ml 23°C Med eller utan ljus
30 Dag
533
Evidensnivå A+

Spruta polypropen Ingen 2 mg/ml 4-6°C Ej angiven
7 Dag
4358
Evidensnivå C+

Spruta polypropen Ingen 2 mg/ml 4°C Skyddas från ljus
30 Dag
533
Evidensnivå A+

Spruta polypropen Ingen 5 mg/ml 23-27°C Ej angiven
7 Dag
4358
Evidensnivå C+

Spruta polypropen Ingen 5 mg/ml 4-6°C Ej angiven
7 Dag
4358
Evidensnivå C+


  Mentions Légales