Seneste opdatering :
18/03/2026
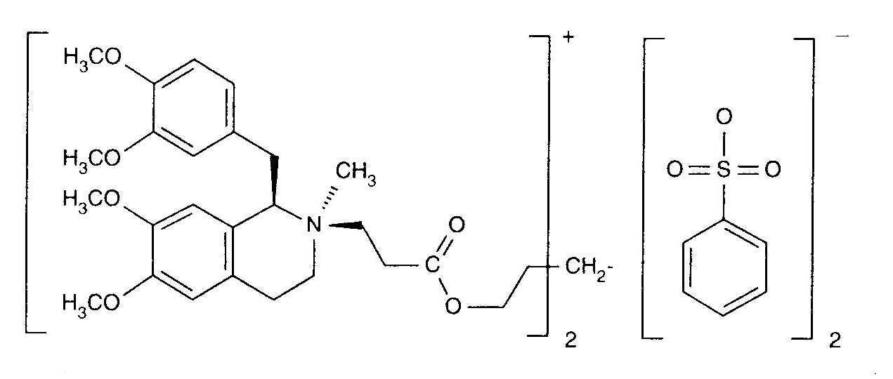
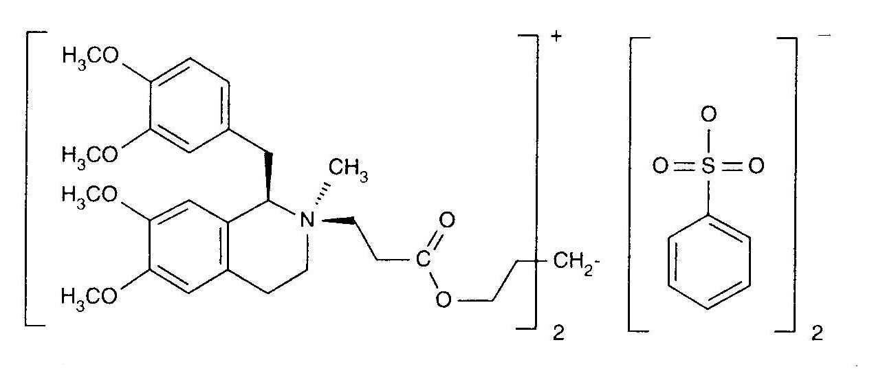
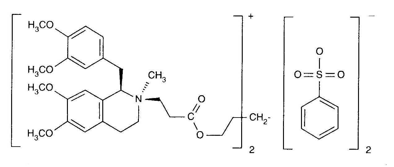
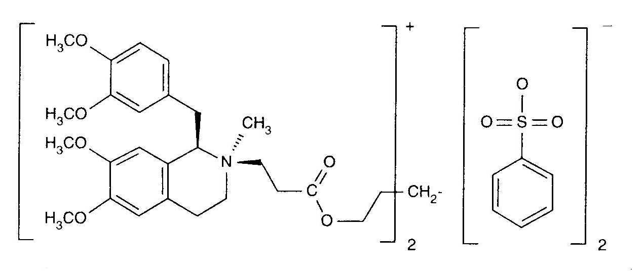
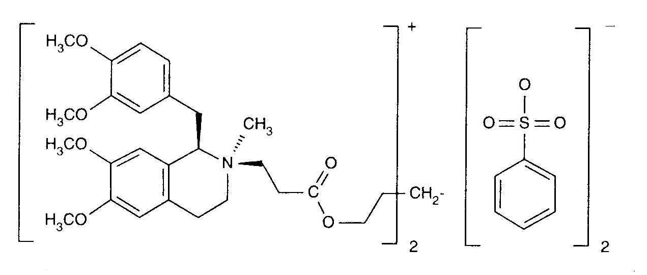
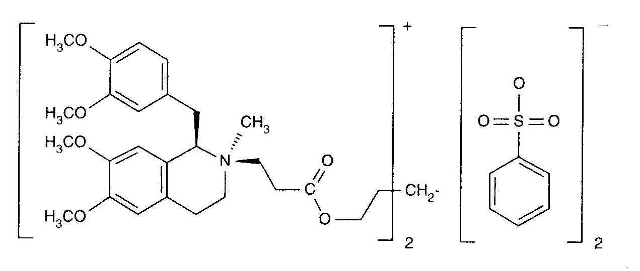
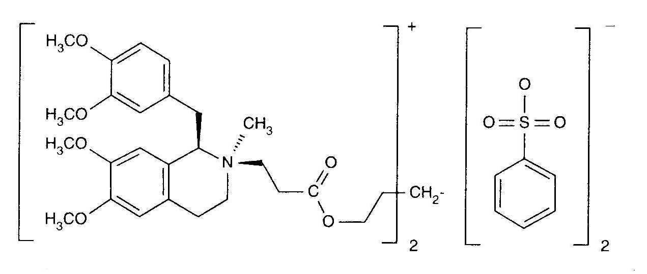
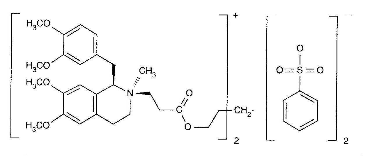
Curamimetisk   Cisatracurium besylate  
Injektion
Stabilitet i (vandige) opløsninger Stabilitet i blandinger Faktorer der påvirker stabiliteten Kompatibilitet Administrationsvej Bibliografi pdf
   Kemisk struktur  

Handelsnavn   Handelsnavn     

Handel navne er vejledende og hjælpestoffer sammensætning kan være forskellig afhængigt af landet og laboratorier

Bensitrak Mexico
Besilato de cisatracurio
Cicuryl Mexico
Cirium Colombia
Cis Atracure
Cisatracurio Brasilien, Chile, Colombia, Ecuador, Italien, Marokko, Spanien
Cisatracurium Belgien, Canada, Finland, Frankrig, Irland, Storbritanien, Tunesien, Tyskland, Ungarn
Nimbex Belgien, Canada, Chile, Danmark, Ecuador, Finland, Forenede Arabiske Emirater, Frankrig, Grækenland, Holland, Iran, Irland, Italien, Luxemborg, Malaysia, Marokko, Mexico, Norge, Polen, Portugal, Saudi-Arabien, Slovenien, Spanien, Storbritanien, Sverige, Tunesien, Tyrkiet, Tyskland, Ungarn, USA, Venezuela, Ægypten, Østrig
Nimbium Brasilien, Colombia
Stabilitet i (vandige) opløsninger   Injektion   Stabilitet i (vandige) opløsninger : Cisatracurium besylate     
Beholder Opløsningsmiddel Koncentration Temperatur Konservering Varighed af stabilitet Bibliografi
Glas Ingen 10 mg/ml 2-8°C Beskyt mod lys
450 Dag
4769
Level af bevismateriale A+

Glas Ingen 2 & 10 mg/ml 23°C Med eller uden lys
45 Dag
533
Level af bevismateriale A+

Glas Ingen 2 & 10 mg/ml 4°C Beskyt mod lys
90 Dag
533
Level af bevismateriale A+

Polyvinylklorid 0,9 % Natriumklorid 0,1 & 2 & 5 mg/ml 4°C Beskyt mod lys
30 Dag
533
Level af bevismateriale A+

Polyvinylklorid 0,9 % Natriumklorid 5 mg/ml 23°C Med eller uden lys
30 Dag
533
Level af bevismateriale A+

Polyvinylklorid 5 % Glukose 0,1 & 2 & 5 mg/ml 4°C Beskyt mod lys
30 Dag
533
Level af bevismateriale A+

Polyvinylklorid 5 % Glukose 5 mg/ml 23°C Med eller uden lys
30 Dag
533
Level af bevismateriale A+

Polyolefin 0,9 % Natriumklorid 0,1 mg/ml 23-27°C Ikke nærmere angivet
48 Time
4358
Level af bevismateriale C+

Polyolefin 0,9 % Natriumklorid 0,1 mg/ml 4-6°C Ikke nærmere angivet
7 Dag
4358
Level af bevismateriale C+

Polyolefin 5 % Glukose 0,1 mg/ml 23-27°C Ikke nærmere angivet
24 Time
4358
Level af bevismateriale C+

Polyolefin 5 % Glukose 0,1 mg/ml 4-6°C Ikke nærmere angivet
7 Dag
4358
Level af bevismateriale C+

sprøjte polypropylen 0,9 % Natriumklorid 0,1 mg/ml 23-27°C Ikke nærmere angivet
2 Dag
4358
Level af bevismateriale C+

sprøjte polypropylen 0,9 % Natriumklorid 0,1 mg/ml 4-6°C Ikke nærmere angivet
7 Dag
4358
Level af bevismateriale C+

sprøjte polypropylen 5 % Glukose 0,1 mg/ml 23-27°C Ikke nærmere angivet
2 Dag
4358
Level af bevismateriale C+

sprøjte polypropylen 5 % Glukose 0,1 mg/ml 4-6°C Ikke nærmere angivet
2 Dag
4358
Level af bevismateriale C+

sprøjte polypropylen Ingen 2 mg/ml 23-27°C Ikke nærmere angivet
7 Dag
4358
Level af bevismateriale C+

sprøjte polypropylen Ingen 2 mg/ml 23°C Med eller uden lys
30 Dag
533
Level af bevismateriale A+

sprøjte polypropylen Ingen 2 mg/ml 4-6°C Ikke nærmere angivet
7 Dag
4358
Level af bevismateriale C+

sprøjte polypropylen Ingen 2 mg/ml 4°C Beskyt mod lys
30 Dag
533
Level af bevismateriale A+

sprøjte polypropylen Ingen 5 mg/ml 23-27°C Ikke nærmere angivet
7 Dag
4358
Level af bevismateriale C+

sprøjte polypropylen Ingen 5 mg/ml 4-6°C Ikke nærmere angivet
7 Dag
4358
Level af bevismateriale C+


  Mentions Légales