Ultimele actualizari :
16/12/2025
Curarizant   Cisatracurium besylate  
Injectabil
Stabilitatea in solutie Stabilitatea in amestec Factorii care influenteaza stabilitatea Compatibilitate Microunde Bibliografie pdf
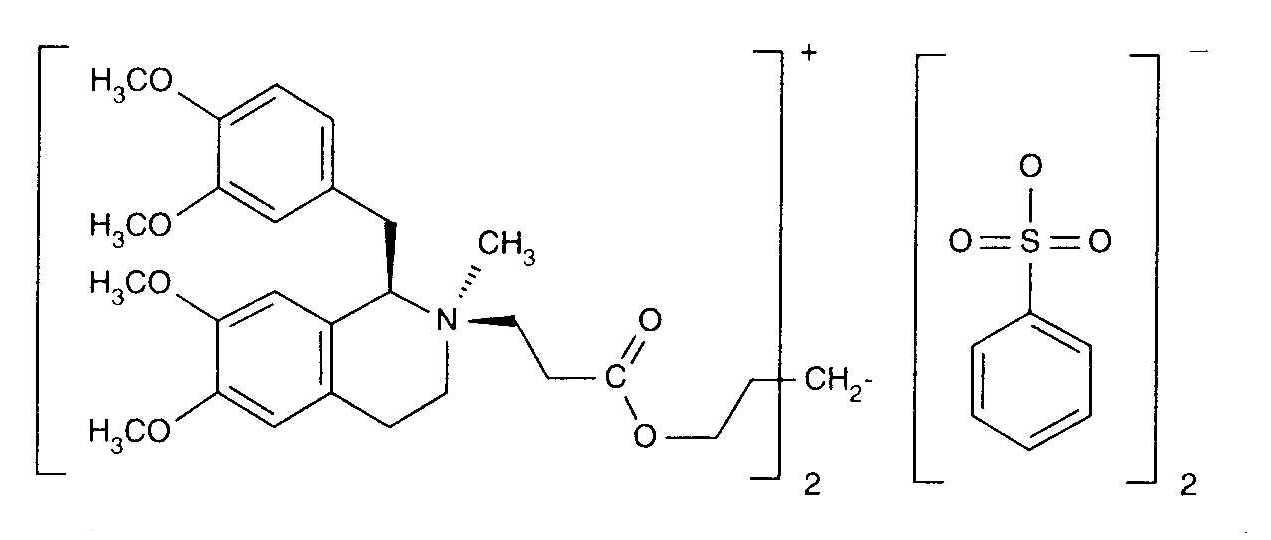
   Formula chimica  

Denumirea comerciala   Denumirea comerciala     

Trade names are indicative and excipients composition can be different depending on the country and manufacturers

Bensitrak Mexic
Besilato de cisatracurio
Cicuryl Mexic
Cirium Columbia
Cis Atracure
Cisatracurio Brazilia, Chilli, Columbia, Ecuador, Italia, Peru, Spania
Cisatracurium Belgia, Canada, Finlanda, Franta, Germania, Irlanda, Marea Britanie, Tunisia, Ungaria
Nimbex Arabia Saudita, Austria, Belgia, Canada, Chilli, Danemarca, Ecuador, Egipt, Emiratele Arabe Unite, Finlanda, Franta, Germania, Grecia, Iran, Irlanda, Italia, Luxemburg, Malaezia, Marea Britanie, Mexic, Norvegia, Olanda, Peru, Polonia, Portugalia, Slovenia, Spania, SUA, Suedia, Tunisia, Turcia, Ungaria, Venezuela
Nimbium Brazilia, Columbia
Stabilitatea in solutie   Injectabil   Stabilitatea in solutie : Cisatracurium besylate     
Continut Solvent Concentratie Temperatura Conservare Durata stabilității Bibiografie
sticla fara 10 mg/ml 2-8°C Ferit de lumina
450 Ziua
4769
Nivel de evidență A+

sticla fara 2 & 10 mg/ml 23°C In prezenta sau absenta luminii
45 Ziua
533
Nivel de evidență A+

sticla fara 2 & 10 mg/ml 4°C Ferit de lumina
90 Ziua
533
Nivel de evidență A+

clorura de polivinil clorura de sodiu 0,9% 0,1 & 2 & 5 mg/ml 4°C Ferit de lumina
30 Ziua
533
Nivel de evidență A+

clorura de polivinil clorura de sodiu 0,9% 5 mg/ml 23°C In prezenta sau absenta luminii
30 Ziua
533
Nivel de evidență A+

clorura de polivinil Glucoza 5% 0,1 & 2 & 5 mg/ml 4°C Ferit de lumina
30 Ziua
533
Nivel de evidență A+

clorura de polivinil Glucoza 5% 5 mg/ml 23°C In prezenta sau absenta luminii
30 Ziua
533
Nivel de evidență A+

poliolefine clorura de sodiu 0,9% 0,1 mg/ml 23-27°C Neprecizat
48 Ora
4358
Nivel de evidență C+

poliolefine clorura de sodiu 0,9% 0,1 mg/ml 4-6°C Neprecizat
7 Ziua
4358
Nivel de evidență C+

poliolefine Glucoza 5% 0,1 mg/ml 23-27°C Neprecizat
24 Ora
4358
Nivel de evidență C+

poliolefine Glucoza 5% 0,1 mg/ml 4-6°C Neprecizat
7 Ziua
4358
Nivel de evidență C+

seringă polipropileno clorura de sodiu 0,9% 0,1 mg/ml 23-27°C Neprecizat
2 Ziua
4358
Nivel de evidență C+

seringă polipropileno clorura de sodiu 0,9% 0,1 mg/ml 4-6°C Neprecizat
7 Ziua
4358
Nivel de evidență C+

seringă polipropileno Glucoza 5% 0,1 mg/ml 23-27°C Neprecizat
2 Ziua
4358
Nivel de evidență C+

seringă polipropileno Glucoza 5% 0,1 mg/ml 4-6°C Neprecizat
2 Ziua
4358
Nivel de evidență C+

seringă polipropileno fara 2 mg/ml 23-27°C Neprecizat
7 Ziua
4358
Nivel de evidență C+

seringă polipropileno fara 2 mg/ml 23°C In prezenta sau absenta luminii
30 Ziua
533
Nivel de evidență A+

seringă polipropileno fara 2 mg/ml 4-6°C Neprecizat
7 Ziua
4358
Nivel de evidență C+

seringă polipropileno fara 2 mg/ml 4°C Ferit de lumina
30 Ziua
533
Nivel de evidență A+

seringă polipropileno fara 5 mg/ml 23-27°C Neprecizat
7 Ziua
4358
Nivel de evidență C+

seringă polipropileno fara 5 mg/ml 4-6°C Neprecizat
7 Ziua
4358
Nivel de evidență C+


  Mentions Légales