zadnja posodobitev :
05/12/2025
Kurarimetik   Cisatracurium besylate  
Brizgalka
Stabilnost raztopine Stabilnost mešanice Faktorji, ki vplivajo na stabilnost Kompatibilnost način aplikacije Viri pdf
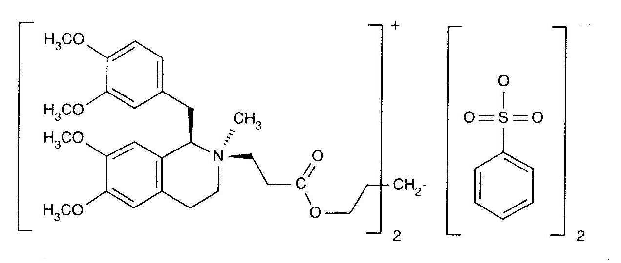
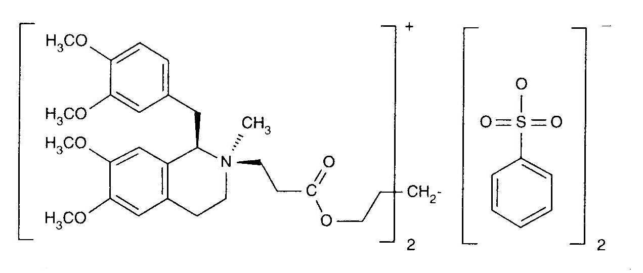
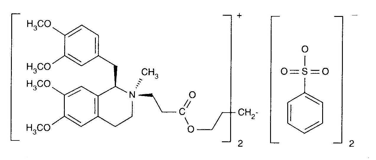
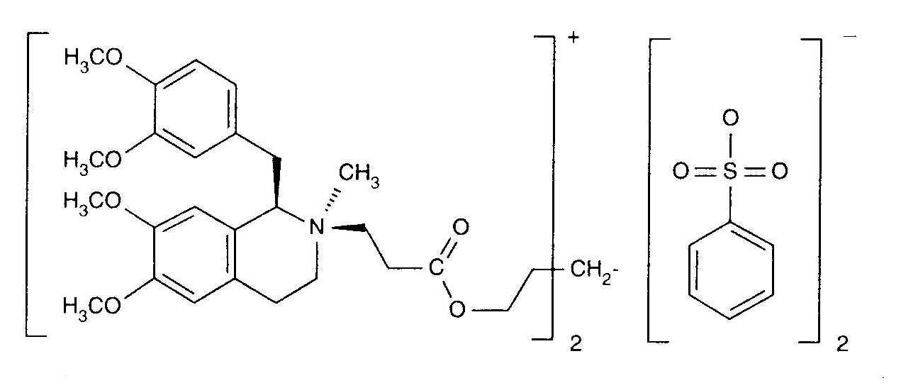
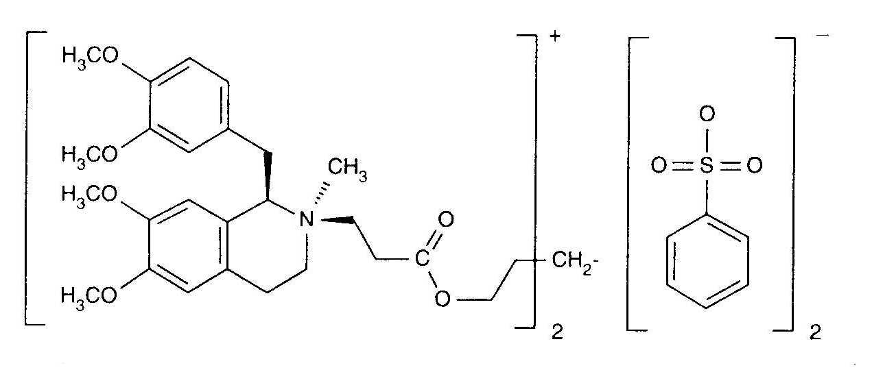
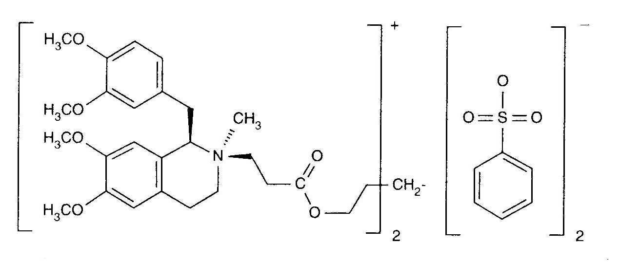
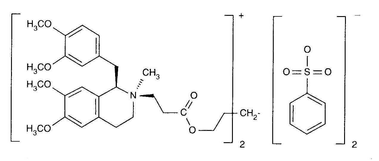
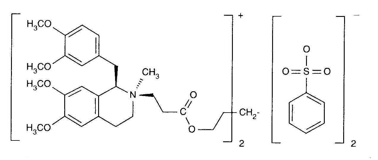
   Kemična formula  

Lastniško ime   Lastniško ime     

Sestava pomožnih snovi je med paralelami lahko različna

Bensitrak Mehika
Besilato de cisatracurio
Cicuryl Mehika
Cirium Kolumbija
Cis Atracure
Cisatracurio Brazilija, Čile, Ekvador, Italija, Kolumbija, Peru, Španija
Cisatracurium Belgija, Finska, Francija, Irska, Kanada, Madžarska, Nemčija, Tunizija, Velika Britanija
Nimbex Avstrija, Belgija, Čile, Danska, Egipt, Ekvador, Finska, Francija, Grčija, Iran, Irska, Italija, Kanada, Luksemburg, Madžarska, Malezija, Mehika, Nemčija, Nizozemska, Norveška, Peru, Poljska, Portugalska, Savdska Arabija, Slovenija, Španija, Švedska, Tunizija, Turčija, Velika Britanija, Venezuela, Združene države Amerike, Združeni arabski emirati
Nimbium Brazilija, Kolumbija
Stabilnost raztopine   Brizgalka   Stabilnost raztopine : Cisatracurium besylate     
Vsebnik Topilo Koncentracija Temperatura Shranjevanje Trajanje stabilnosti Viri
Steklo Nobeden 10 mg/ml 2-8°C Zaščiteno pred svetlobo
450 Dan
4769
 Stopnja dokaza A+

Steklo Nobeden 2 & 10 mg/ml 23°C Z ali brez svetlobe
45 Dan
533
 Stopnja dokaza A+

Steklo Nobeden 2 & 10 mg/ml 4°C Zaščiteno pred svetlobo
90 Dan
533
 Stopnja dokaza A+

Polivinil klorid Natrijev klorid 0,9% 0,1 & 2 & 5 mg/ml 4°C Zaščiteno pred svetlobo
30 Dan
533
 Stopnja dokaza A+

Polivinil klorid Natrijev klorid 0,9% 5 mg/ml 23°C Z ali brez svetlobe
30 Dan
533
 Stopnja dokaza A+

Polivinil klorid Glukoza 5% 0,1 & 2 & 5 mg/ml 4°C Zaščiteno pred svetlobo
30 Dan
533
 Stopnja dokaza A+

Polivinil klorid Glukoza 5% 5 mg/ml 23°C Z ali brez svetlobe
30 Dan
533
 Stopnja dokaza A+

Poliolefin Natrijev klorid 0,9% 0,1 mg/ml 23-27°C Nedoločeno
48 čas
4358
 Stopnja dokaza C+

Poliolefin Natrijev klorid 0,9% 0,1 mg/ml 4-6°C Nedoločeno
7 Dan
4358
 Stopnja dokaza C+

Poliolefin Glukoza 5% 0,1 mg/ml 23-27°C Nedoločeno
24 čas
4358
 Stopnja dokaza C+

Poliolefin Glukoza 5% 0,1 mg/ml 4-6°C Nedoločeno
7 Dan
4358
 Stopnja dokaza C+

Brizgalka polipropilen Natrijev klorid 0,9% 0,1 mg/ml 23-27°C Nedoločeno
2 Dan
4358
 Stopnja dokaza C+

Brizgalka polipropilen Natrijev klorid 0,9% 0,1 mg/ml 4-6°C Nedoločeno
7 Dan
4358
 Stopnja dokaza C+

Brizgalka polipropilen Glukoza 5% 0,1 mg/ml 23-27°C Nedoločeno
2 Dan
4358
 Stopnja dokaza C+

Brizgalka polipropilen Glukoza 5% 0,1 mg/ml 4-6°C Nedoločeno
2 Dan
4358
 Stopnja dokaza C+

Brizgalka polipropilen Nobeden 2 mg/ml 23-27°C Nedoločeno
7 Dan
4358
 Stopnja dokaza C+

Brizgalka polipropilen Nobeden 2 mg/ml 23°C Z ali brez svetlobe
30 Dan
533
 Stopnja dokaza A+

Brizgalka polipropilen Nobeden 2 mg/ml 4-6°C Nedoločeno
7 Dan
4358
 Stopnja dokaza C+

Brizgalka polipropilen Nobeden 2 mg/ml 4°C Zaščiteno pred svetlobo
30 Dan
533
 Stopnja dokaza A+

Brizgalka polipropilen Nobeden 5 mg/ml 23-27°C Nedoločeno
7 Dan
4358
 Stopnja dokaza C+

Brizgalka polipropilen Nobeden 5 mg/ml 4-6°C Nedoločeno
7 Dan
4358
 Stopnja dokaza C+


  Mentions Légales