Последно актуализиране :
18/03/2026
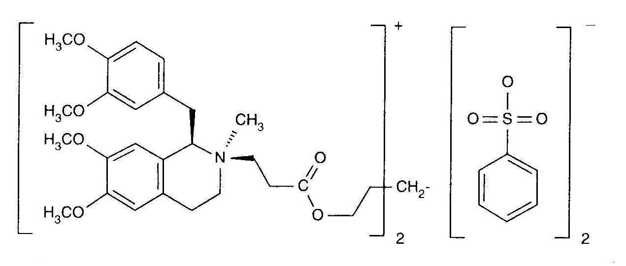
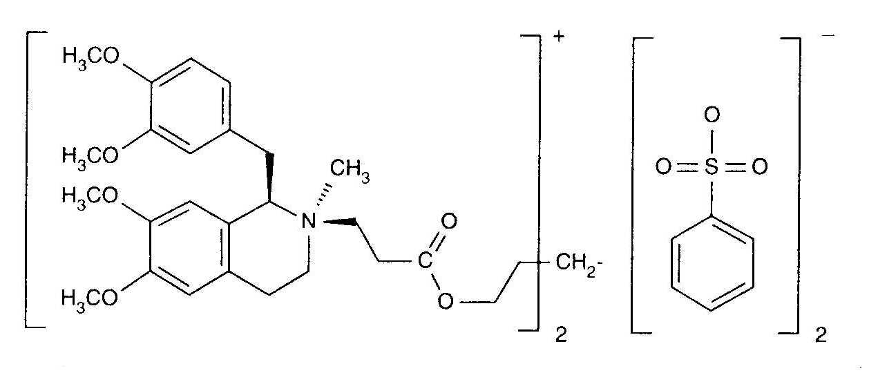
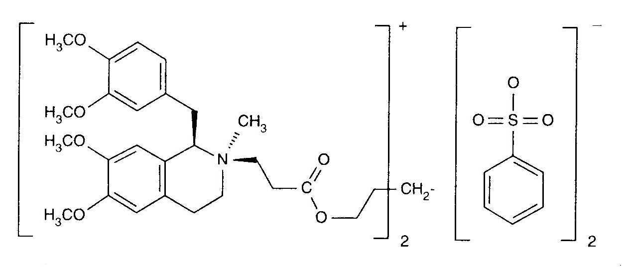
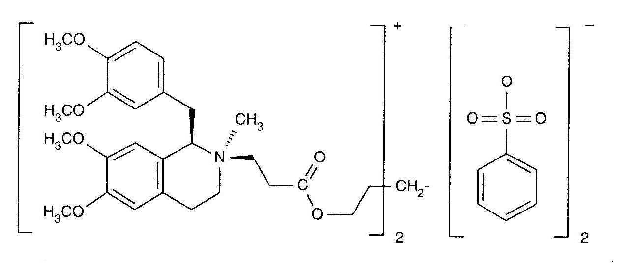
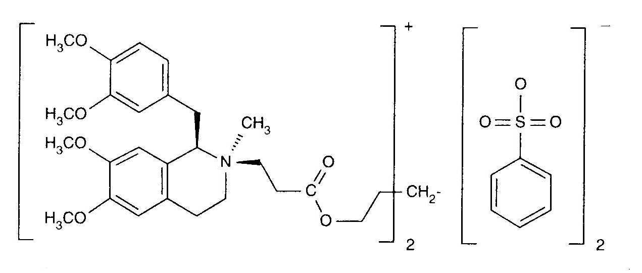
Кураре-миметик   Cisatracurium besylate  
Инжекция/Инжекционен
Стабилност на разтвори Стабилност на смеси Фактори, повлияващи стабилността Съвместимост Път на въвеждане Библиография Pdf
   Химична структура  

Търговско наименование   Търговско наименование     

Търговските имена са примерни и съставът на помощните вещества може да бъде различен в зависимост от държавата и лабораториите

Bensitrak Мексико
Besilato de cisatracurio
Cicuryl Мексико
Cirium Колумбия
Cis Atracure
Cisatracurio Бразилия, Еквадор, Испания, Италия, Колумбия, Перу, Чили
Cisatracurium Белгия, Великобритания, Германия, Ирландия, Канада, Тунис, Унгария, Финландия, Франция
Nimbex Австрия, Белгия, Великобритания, Венецуела, Германия, Гърция, Дания, Египет, Еквадор, Иран, Ирландия, Испания, Италия, Канада, Люксенбург, Малайзия, Мексико, Норвегия, Обединени арабски емирства, Перу, Полша, Португалия, Саудитска Арабия, Словения, Съединени Американски щати / САЩ, Тунис, Турция, Унгария, Финландия, Франция, Холандия, Чили, Швеция
Nimbium Бразилия, Колумбия
Стабилност на разтвори   Инжекция/Инжекционен   Стабилност на разтвори : Cisatracurium besylate     
Контейнер Разтворител Концентрация Температура Съхранение Продължителност на стабилността Библиография
Стъкло Няма 10 mg/ml 2-8°C Защита от светлина
450 Ден
4769
Степен на доказаност A+

Стъкло Няма 2 & 10 mg/ml 23°C С или без светлина
45 Ден
533
Степен на доказаност A+

Стъкло Няма 2 & 10 mg/ml 4°C Защита от светлина
90 Ден
533
Степен на доказаност A+

Поливинил хлорид Sodium chloride 0,9% 0,1 & 2 & 5 mg/ml 4°C Защита от светлина
30 Ден
533
Степен на доказаност A+

Поливинил хлорид Sodium chloride 0,9% 5 mg/ml 23°C С или без светлина
30 Ден
533
Степен на доказаност A+

Поливинил хлорид Glucose 5% 0,1 & 2 & 5 mg/ml 4°C Защита от светлина
30 Ден
533
Степен на доказаност A+

Поливинил хлорид Glucose 5% 5 mg/ml 23°C С или без светлина
30 Ден
533
Степен на доказаност A+

Полиолефин Sodium chloride 0,9% 0,1 mg/ml 23-27°C Не е уточнено
48 Час
4358
Степен на доказаност C+

Полиолефин Sodium chloride 0,9% 0,1 mg/ml 4-6°C Не е уточнено
7 Ден
4358
Степен на доказаност C+

Полиолефин Glucose 5% 0,1 mg/ml 23-27°C Не е уточнено
24 Час
4358
Степен на доказаност C+

Полиолефин Glucose 5% 0,1 mg/ml 4-6°C Не е уточнено
7 Ден
4358
Степен на доказаност C+

шприц полипропилен Sodium chloride 0,9% 0,1 mg/ml 23-27°C Не е уточнено
2 Ден
4358
Степен на доказаност C+

шприц полипропилен Sodium chloride 0,9% 0,1 mg/ml 4-6°C Не е уточнено
7 Ден
4358
Степен на доказаност C+

шприц полипропилен Glucose 5% 0,1 mg/ml 23-27°C Не е уточнено
2 Ден
4358
Степен на доказаност C+

шприц полипропилен Glucose 5% 0,1 mg/ml 4-6°C Не е уточнено
2 Ден
4358
Степен на доказаност C+

шприц полипропилен Няма 2 mg/ml 23-27°C Не е уточнено
7 Ден
4358
Степен на доказаност C+

шприц полипропилен Няма 2 mg/ml 23°C С или без светлина
30 Ден
533
Степен на доказаност A+

шприц полипропилен Няма 2 mg/ml 4-6°C Не е уточнено
7 Ден
4358
Степен на доказаност C+

шприц полипропилен Няма 2 mg/ml 4°C Защита от светлина
30 Ден
533
Степен на доказаност A+

шприц полипропилен Няма 5 mg/ml 23-27°C Не е уточнено
7 Ден
4358
Степен на доказаност C+

шприц полипропилен Няма 5 mg/ml 4-6°C Не е уточнено
7 Ден
4358
Степен на доказаност C+


  Mentions Légales