Ostatnia aktualizacja :
31/03/2026
Lek kuraropodobny   Cisatracurium besylate  
Injekcje
Trwałość roztworów Trwałość w mieszaninie Czynnik wpływający na trwałość Zgodność Sposób podania Bibliografia pdf
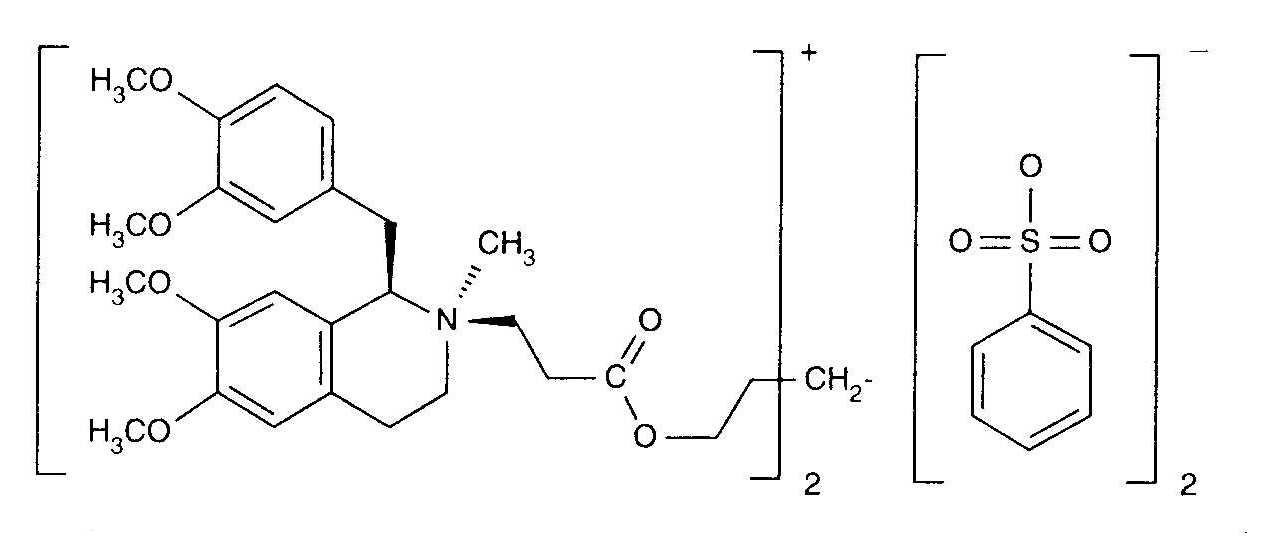
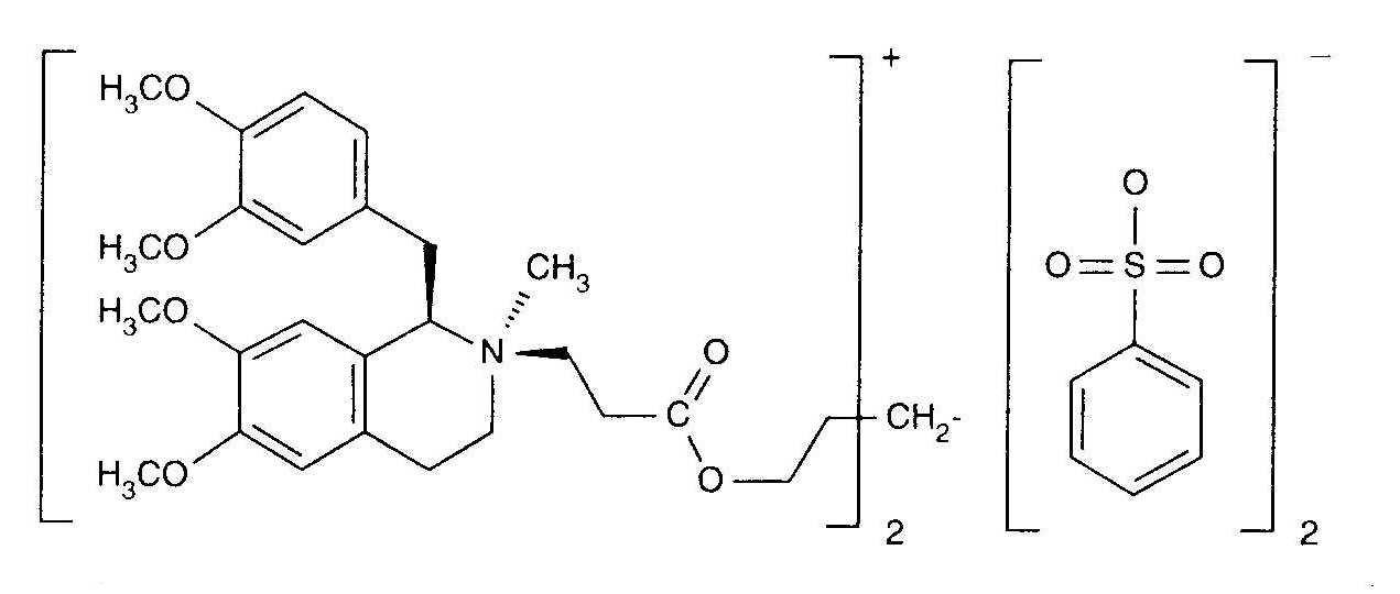
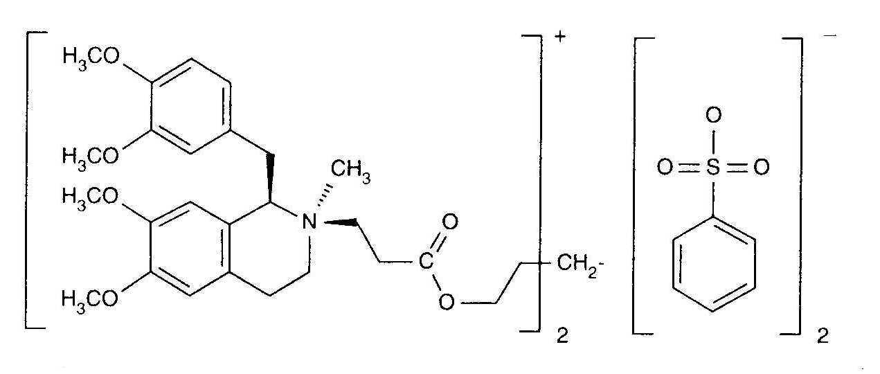
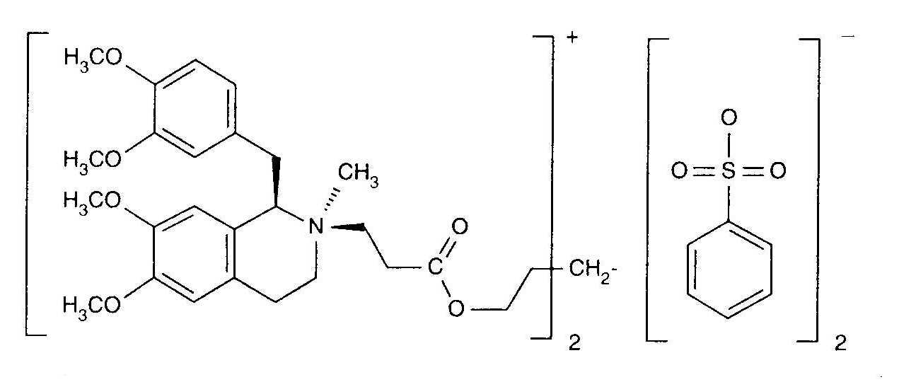
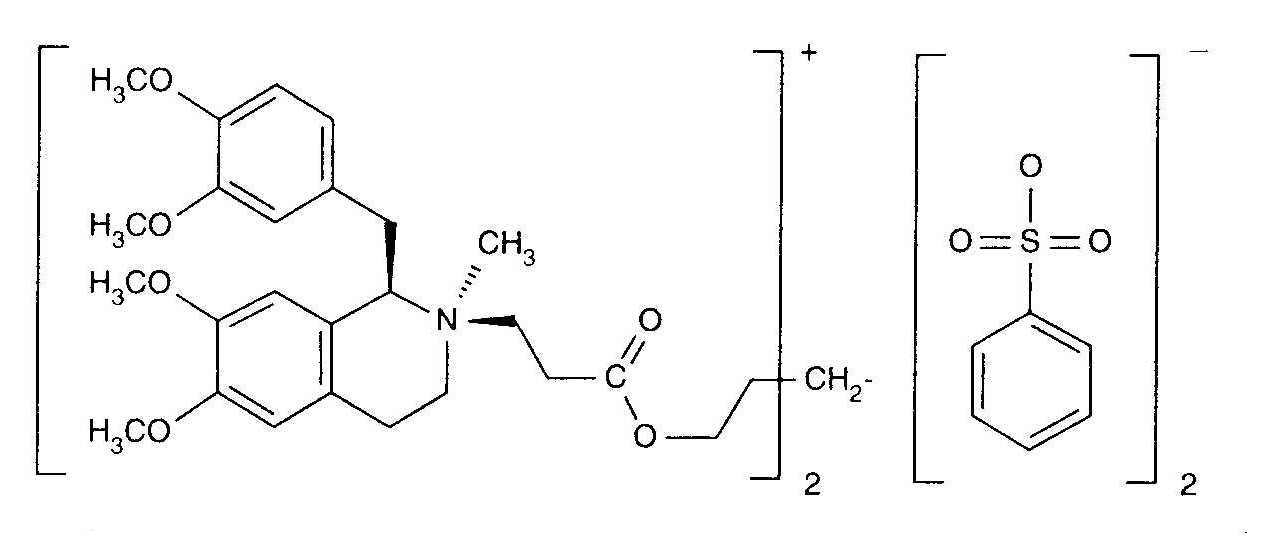
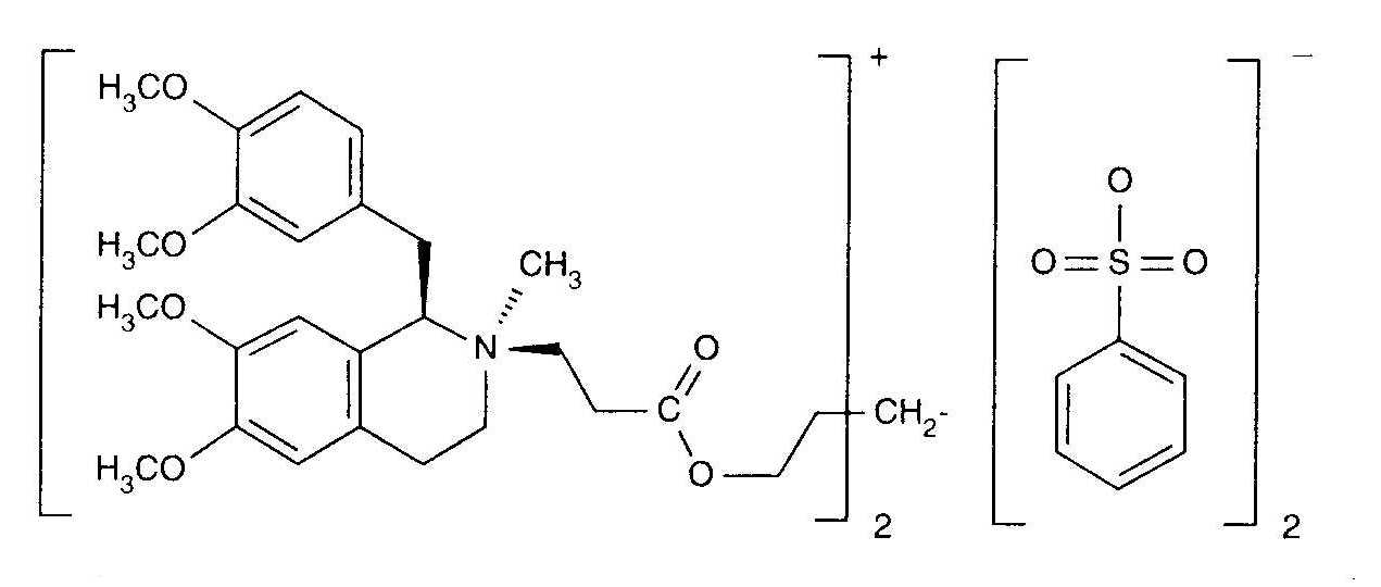
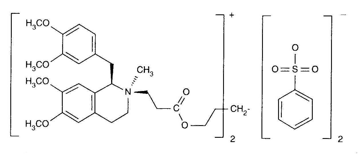
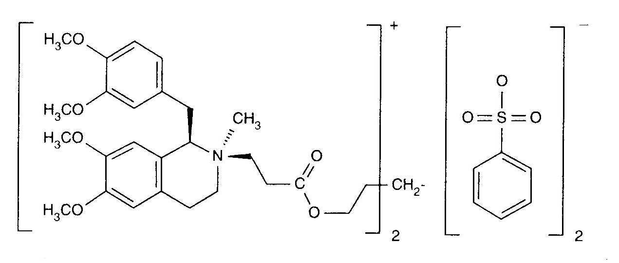
   Struktura chemiczna  

Nazwa handlowa   Nazwa handlowa     

Trade names are indicative and excipients composition can be different depending on the country and manufacturers

Bensitrak Meksyk
Besilato de cisatracurio
Cicuryl Meksyk
Cirium KolumbiaKolumbia
Cis Atracure
Cisatracurio Brazylia, Chile, Ekwador, Hiszpania, KolumbiaKolumbia, Peru, Włochy
Cisatracurium Belgia, Finlandia, Francja , Irlandia, Kanada, Niemcy, Tunisie, Węgry, Wielka Brytania
Nimbex Arabia Saudyjska, Austria, Belgia, Chile, Dania, Egipt, Ekwador, Finlandia, Francja , Grecja, Hiszpania, Holandia, Iran, Irlandia, Kanada, Luksemburg, Malezja, Meksyk, Niemcy, Norwegia, Peru, Polska, Portugalia, Stany Zjednoczone Ameryki, Szwecja, Słowenia, Tunisie, Turcja, Węgry, Wenezuela, Wielka Brytania, Włochy, Zjednoczone Emiraty Arabskie
Nimbium Brazylia, KolumbiaKolumbia
Trwałość roztworów   Injekcje   Trwałość roztworów : Cisatracurium besylate     
Pojemnik Rozpuszczalnik Stężenie Temperatura Przechowywanie Czas trwania stabilności Bibliografia
Szkło Żaden 10 mg/ml 2-8°C Chronić od światła
450 Dzień
4769
Poziom wiarygodności A+

Szkło Żaden 2 & 10 mg/ml 23°C Przy świetle lub w ciemności
45 Dzień
533
Poziom wiarygodności A+

Szkło Żaden 2 & 10 mg/ml 4°C Chronić od światła
90 Dzień
533
Poziom wiarygodności A+

Polichlorek winylu Chlorek sodu 0,9% 0,1 & 2 & 5 mg/ml 4°C Chronić od światła
30 Dzień
533
Poziom wiarygodności A+

Polichlorek winylu Chlorek sodu 0,9% 5 mg/ml 23°C Przy świetle lub w ciemności
30 Dzień
533
Poziom wiarygodności A+

Polichlorek winylu Glukoza 5% 0,1 & 2 & 5 mg/ml 4°C Chronić od światła
30 Dzień
533
Poziom wiarygodności A+

Polichlorek winylu Glukoza 5% 5 mg/ml 23°C Przy świetle lub w ciemności
30 Dzień
533
Poziom wiarygodności A+

Poliolefina Chlorek sodu 0,9% 0,1 mg/ml 23-27°C Nie wyszczególniony
48 Godzina
4358
Poziom wiarygodności C+

Poliolefina Chlorek sodu 0,9% 0,1 mg/ml 4-6°C Nie wyszczególniony
7 Dzień
4358
Poziom wiarygodności C+

Poliolefina Glukoza 5% 0,1 mg/ml 23-27°C Nie wyszczególniony
24 Godzina
4358
Poziom wiarygodności C+

Poliolefina Glukoza 5% 0,1 mg/ml 4-6°C Nie wyszczególniony
7 Dzień
4358
Poziom wiarygodności C+

Strzykawka Chlorek sodu 0,9% 0,1 mg/ml 23-27°C Nie wyszczególniony
2 Dzień
4358
Poziom wiarygodności C+

Strzykawka Chlorek sodu 0,9% 0,1 mg/ml 4-6°C Nie wyszczególniony
7 Dzień
4358
Poziom wiarygodności C+

Strzykawka Glukoza 5% 0,1 mg/ml 23-27°C Nie wyszczególniony
2 Dzień
4358
Poziom wiarygodności C+

Strzykawka Glukoza 5% 0,1 mg/ml 4-6°C Nie wyszczególniony
2 Dzień
4358
Poziom wiarygodności C+

Strzykawka Żaden 2 mg/ml 23-27°C Nie wyszczególniony
7 Dzień
4358
Poziom wiarygodności C+

Strzykawka Żaden 2 mg/ml 23°C Przy świetle lub w ciemności
30 Dzień
533
Poziom wiarygodności A+

Strzykawka Żaden 2 mg/ml 4-6°C Nie wyszczególniony
7 Dzień
4358
Poziom wiarygodności C+

Strzykawka Żaden 2 mg/ml 4°C Chronić od światła
30 Dzień
533
Poziom wiarygodności A+

Strzykawka Żaden 5 mg/ml 23-27°C Nie wyszczególniony
7 Dzień
4358
Poziom wiarygodności C+

Strzykawka Żaden 5 mg/ml 4-6°C Nie wyszczególniony
7 Dzień
4358
Poziom wiarygodności C+


  Mentions Légales