Laatste update :
18/03/2026
Curarimimeticum   Cisatracurium besylate  
injecteerbaar geneesmiddel
Stabiliteit in oplossing Stabiliteit in mengsels Factoren die de stabiliteit beïnvloeden Verenigbaarheden Toedieningswijze Literatuur pdf
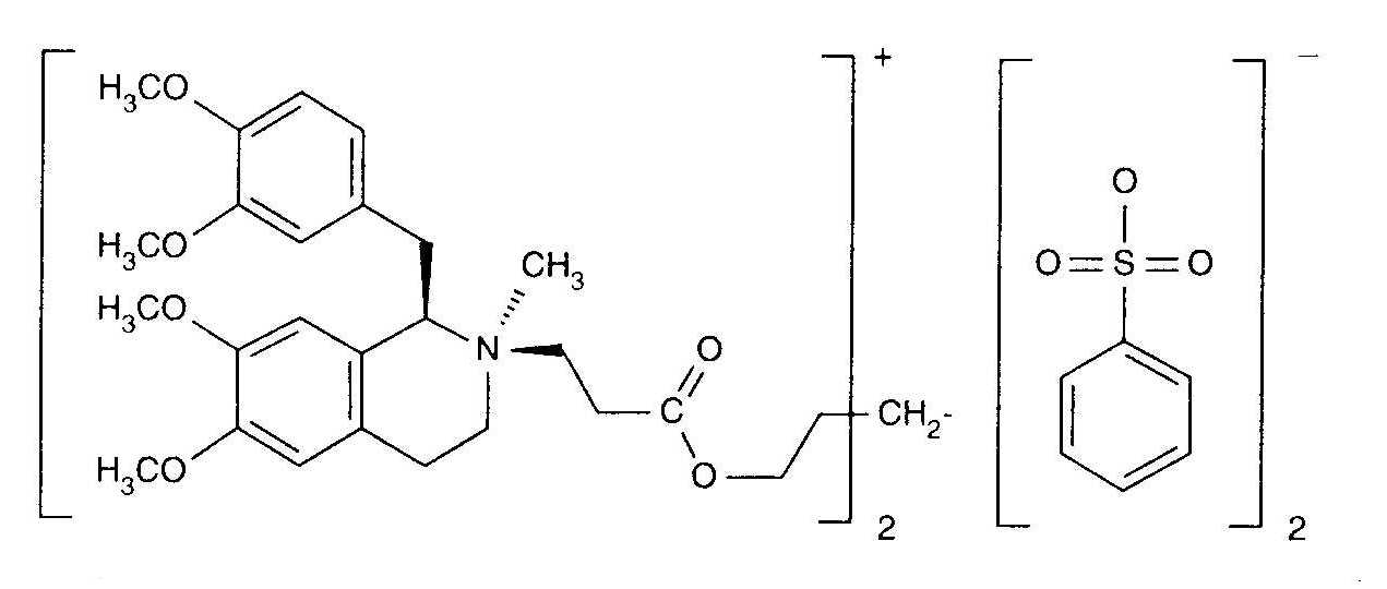
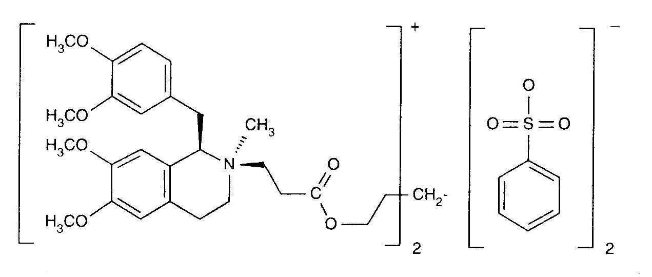
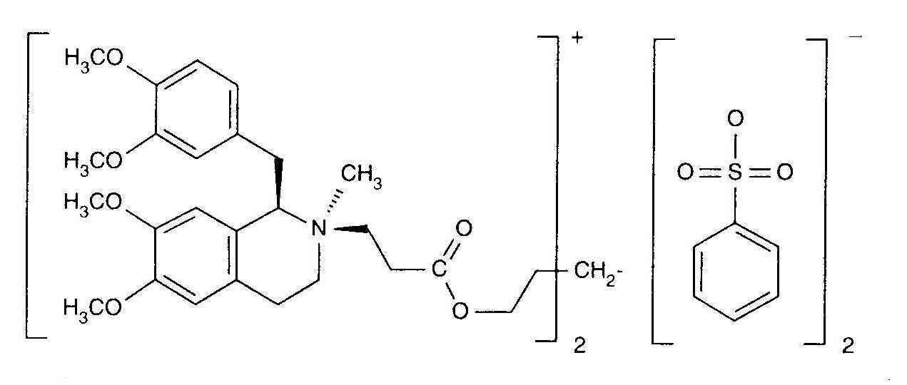
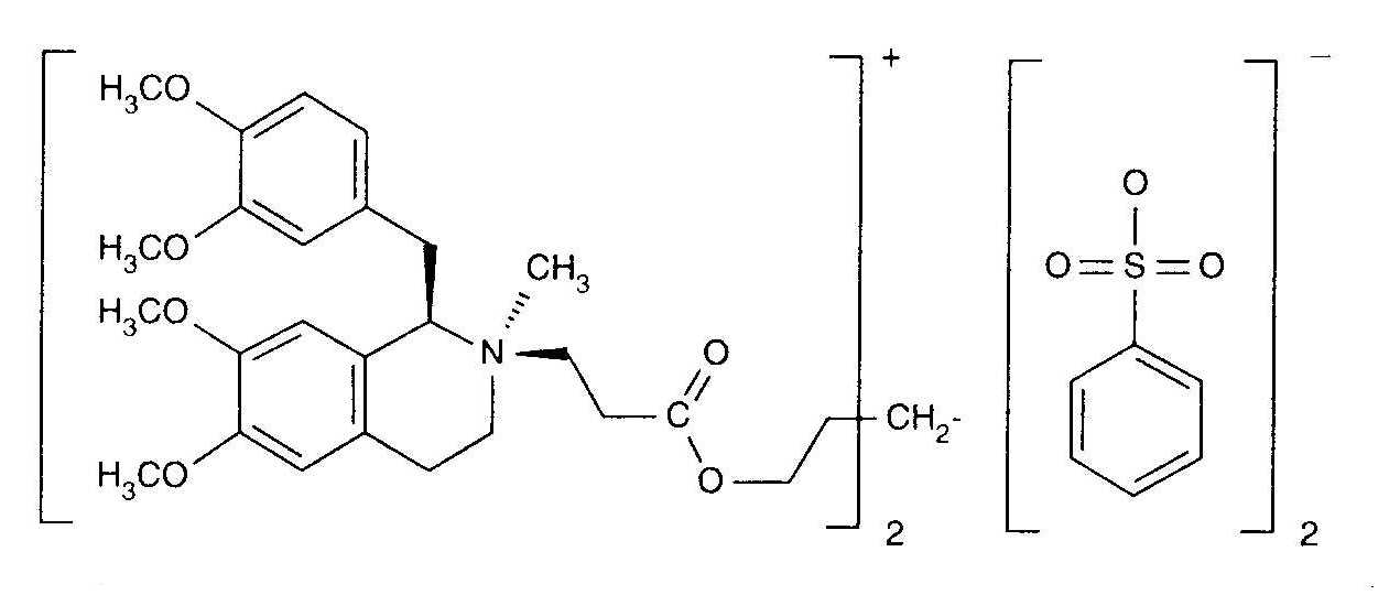
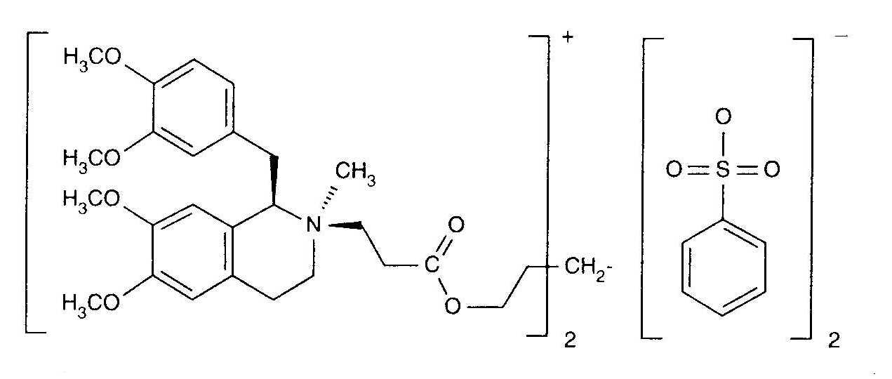
   Molecuulstructuur  

Merknamen in verschillende landen   Merknamen in verschillende landen     

Handelsnamen zijn slechts een indicatie; de samenstelling van hulpstoffen kan per land variëren afhankelijk van de fabrikant

Bensitrak Mexico
Besilato de cisatracurio
Cicuryl Mexico
Cirium Colombia
Cis Atracure
Cisatracurio Brazilië, Chili, Colombia, Ecuador, Italië, Peru, Spanje
Cisatracurium België, Canada, Duitsland, Finland, Frankrijk, Groot Britannië, Hongarije, Ierland, Tunisie
Nimbex België, Canada, Chili, Denemarken, Duitsland, Ecuador, Egypte, Finland, Frankrijk, Griekenland, Groot Britannië, Hongarije, Ierland, Iran, Italië, Luxemburg, Maleisië, Mexico, Nederland, Noorwegen, Oostenrijk, Peru, Polen, Portugal, Saudi-Arabië, Slovenië, Spanje, Tunisie, Turkije, USA, Venezuela, Verenigde Arabische Emiraten, Zweden
Nimbium Brazilië, Colombia
Stabiliteit in oplossing   injecteerbaar geneesmiddel   Stabiliteit in oplossing : Cisatracurium besylate     
Verpakking Oplosmiddel Concentratie Temperatuur Bewaring Duur van de stabiliteit Literatuur
Glas Geen 10 mg/ml 2-8°C Buiten invloed van licht
450 Dag
4769
Bewijsniveau A+

Glas Geen 2 & 10 mg/ml 23°C Met of zonder licht
45 Dag
533
Bewijsniveau A+

Glas Geen 2 & 10 mg/ml 4°C Buiten invloed van licht
90 Dag
533
Bewijsniveau A+

Polyvinylchloride (PVC) Natriumchloride 0,9% 0,1 & 2 & 5 mg/ml 4°C Buiten invloed van licht
30 Dag
533
Bewijsniveau A+

Polyvinylchloride (PVC) Natriumchloride 0,9% 5 mg/ml 23°C Met of zonder licht
30 Dag
533
Bewijsniveau A+

Polyvinylchloride (PVC) Glucose 5% 0,1 & 2 & 5 mg/ml 4°C Buiten invloed van licht
30 Dag
533
Bewijsniveau A+

Polyvinylchloride (PVC) Glucose 5% 5 mg/ml 23°C Met of zonder licht
30 Dag
533
Bewijsniveau A+

Polyolefine Natriumchloride 0,9% 0,1 mg/ml 23-27°C Niet gespecificeerd
48 Uur
4358
Bewijsniveau C+

Polyolefine Natriumchloride 0,9% 0,1 mg/ml 4-6°C Niet gespecificeerd
7 Dag
4358
Bewijsniveau C+

Polyolefine Glucose 5% 0,1 mg/ml 23-27°C Niet gespecificeerd
24 Uur
4358
Bewijsniveau C+

Polyolefine Glucose 5% 0,1 mg/ml 4-6°C Niet gespecificeerd
7 Dag
4358
Bewijsniveau C+

injectiespuit polypropyleen Natriumchloride 0,9% 0,1 mg/ml 23-27°C Niet gespecificeerd
2 Dag
4358
Bewijsniveau C+

injectiespuit polypropyleen Natriumchloride 0,9% 0,1 mg/ml 4-6°C Niet gespecificeerd
7 Dag
4358
Bewijsniveau C+

injectiespuit polypropyleen Glucose 5% 0,1 mg/ml 23-27°C Niet gespecificeerd
2 Dag
4358
Bewijsniveau C+

injectiespuit polypropyleen Glucose 5% 0,1 mg/ml 4-6°C Niet gespecificeerd
2 Dag
4358
Bewijsniveau C+

injectiespuit polypropyleen Geen 2 mg/ml 23-27°C Niet gespecificeerd
7 Dag
4358
Bewijsniveau C+

injectiespuit polypropyleen Geen 2 mg/ml 23°C Met of zonder licht
30 Dag
533
Bewijsniveau A+

injectiespuit polypropyleen Geen 2 mg/ml 4-6°C Niet gespecificeerd
7 Dag
4358
Bewijsniveau C+

injectiespuit polypropyleen Geen 2 mg/ml 4°C Buiten invloed van licht
30 Dag
533
Bewijsniveau A+

injectiespuit polypropyleen Geen 5 mg/ml 23-27°C Niet gespecificeerd
7 Dag
4358
Bewijsniveau C+

injectiespuit polypropyleen Geen 5 mg/ml 4-6°C Niet gespecificeerd
7 Dag
4358
Bewijsniveau C+


  Mentions Légales