最新更新 :
31/03/2026
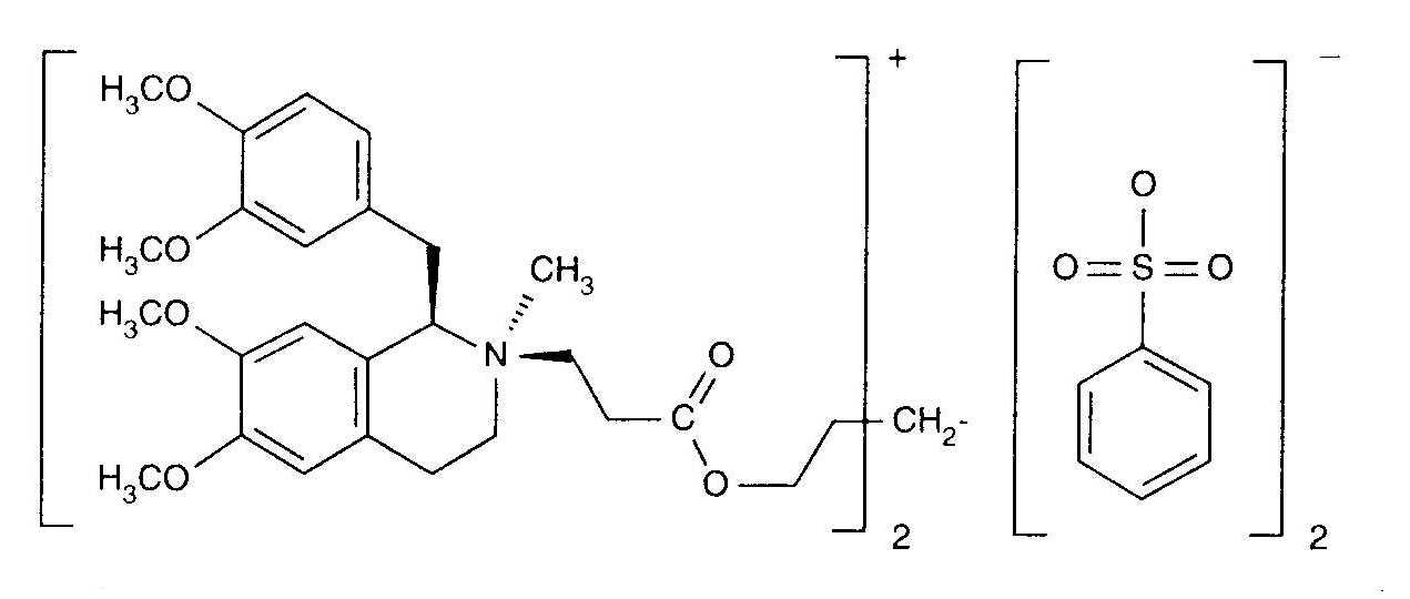
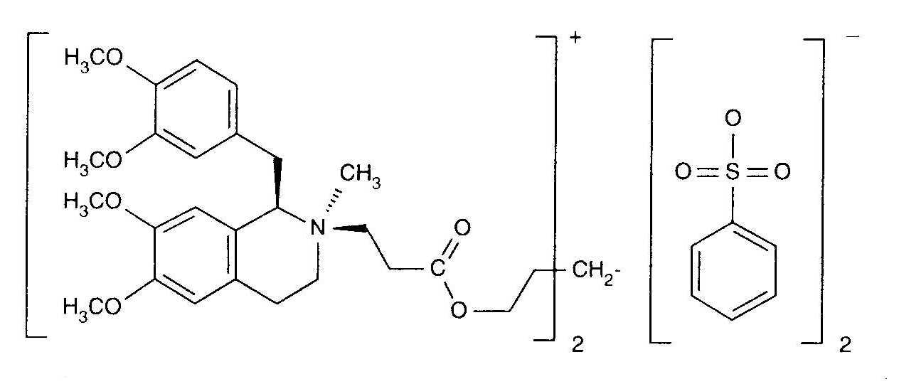
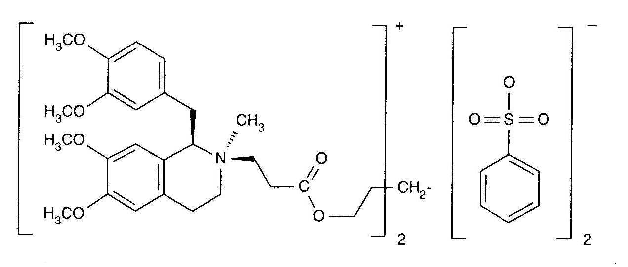
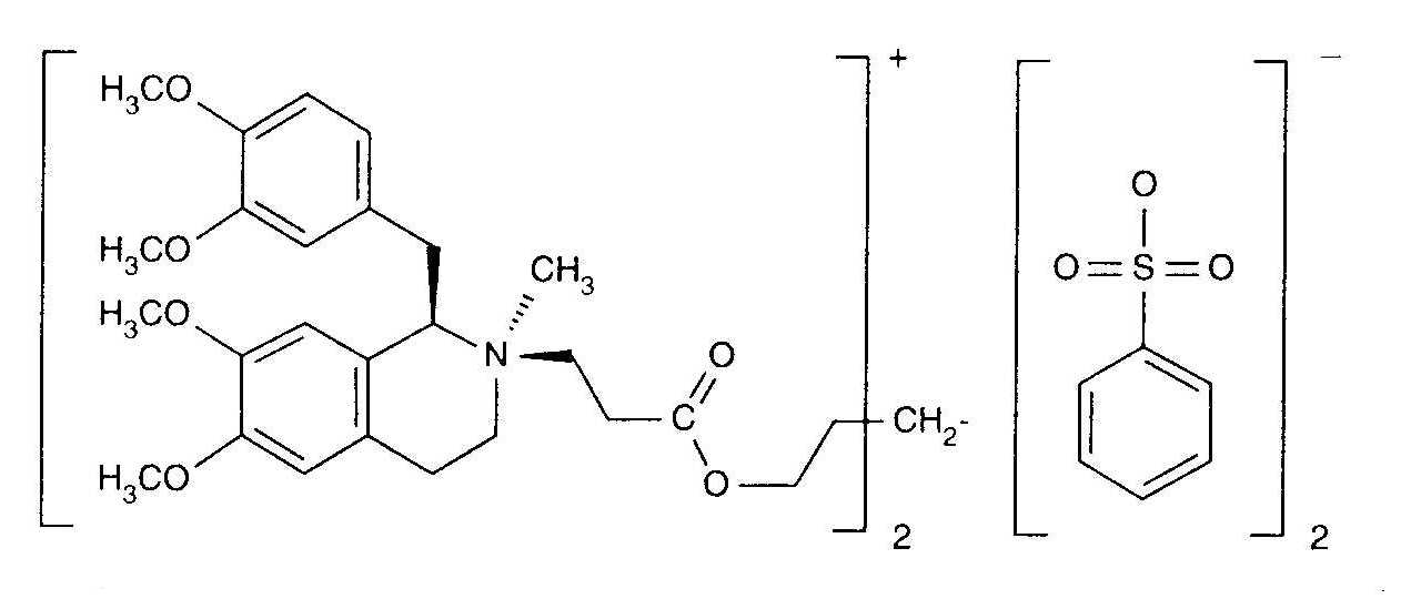
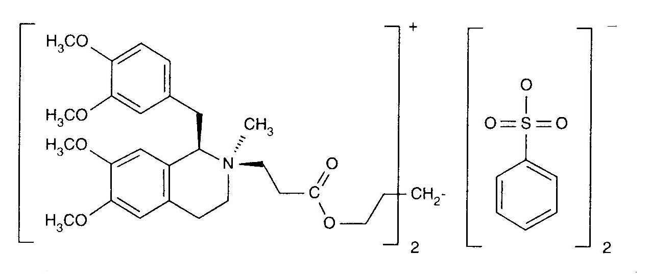
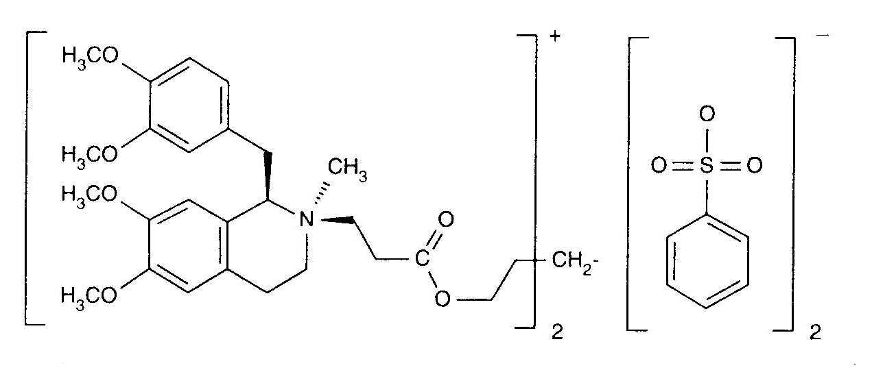
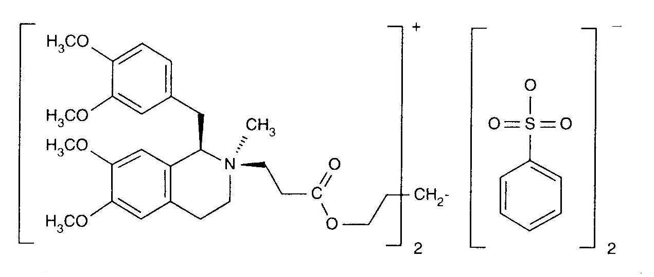
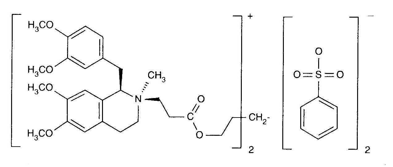
クラーレ様薬   Cisatracurium besylate  
注射薬
溶媒内の安定性 混合時の安定性 安定性に影響する因子 互換性 投与経路 引用文献 PDF
   化学構造  

商品名   商品名     

商品名、賦形剤は国、製薬会社ごとに異なることがあります

Bensitrak メキシコ
Besilato de cisatracurio
Cicuryl メキシコ
Cirium コロンビア
Cis Atracure
Cisatracurio イタリア, エクアドル, コロンビア, スペイン, チリ, ブラジル, ペルー
Cisatracurium アイルランド, イギリス, カナダ, チュニジア, ドイツ, ハンガリー, フィンランド, フランス, ベルギー
Nimbex アイルランド, アメリカ, アラブ首長国連邦, イギリス, イタリア, イラン, エクアドル, エジプト, オランダ, オーストリア, カナダ, ギリシア, サウジアラビア, スウェーデン, スペイン, スロベニア, チュニジア, チリ, デンマーク, トルコ, ドイツ, ノルウェー, ハンガリー, フィンランド, フランス, ベネズエラ, ベルギー, ペルー, ポルトガル, ポーランド, マレーシア, メキシコ, ルクセンブルグ
Nimbium コロンビア, ブラジル
溶媒内の安定性   注射薬   溶媒内の安定性 : Cisatracurium besylate     
容器 溶媒 濃度 温度 保管 安定期間 引用文献
ガラス なし 10 mg/ml 2-8°C 遮光
450 日
4769
エビデンスレベル A+

ガラス なし 2 & 10 mg/ml 23°C 光/遮光
45 日
533
エビデンスレベル A+

ガラス なし 2 & 10 mg/ml 4°C 遮光
90 日
533
エビデンスレベル A+

ポリ塩化ビニル(PVC) NaCl 0,9% 0,1 & 2 & 5 mg/ml 4°C 遮光
30 日
533
エビデンスレベル A+

ポリ塩化ビニル(PVC) NaCl 0,9% 5 mg/ml 23°C 光/遮光
30 日
533
エビデンスレベル A+

ポリ塩化ビニル(PVC) グルコース5% 0,1 & 2 & 5 mg/ml 4°C 遮光
30 日
533
エビデンスレベル A+

ポリ塩化ビニル(PVC) グルコース5% 5 mg/ml 23°C 光/遮光
30 日
533
エビデンスレベル A+

ポリオレフィン NaCl 0,9% 0,1 mg/ml 23-27°C 特記なし
48 時間
4358
エビデンスレベル C+

ポリオレフィン NaCl 0,9% 0,1 mg/ml 4-6°C 特記なし
7 日
4358
エビデンスレベル C+

ポリオレフィン グルコース5% 0,1 mg/ml 23-27°C 特記なし
24 時間
4358
エビデンスレベル C+

ポリオレフィン グルコース5% 0,1 mg/ml 4-6°C 特記なし
7 日
4358
エビデンスレベル C+

シリンジ ポリプロピレン NaCl 0,9% 0,1 mg/ml 23-27°C 特記なし
2 日
4358
エビデンスレベル C+

シリンジ ポリプロピレン NaCl 0,9% 0,1 mg/ml 4-6°C 特記なし
7 日
4358
エビデンスレベル C+

シリンジ ポリプロピレン グルコース5% 0,1 mg/ml 23-27°C 特記なし
2 日
4358
エビデンスレベル C+

シリンジ ポリプロピレン グルコース5% 0,1 mg/ml 4-6°C 特記なし
2 日
4358
エビデンスレベル C+

シリンジ ポリプロピレン なし 2 mg/ml 23-27°C 特記なし
7 日
4358
エビデンスレベル C+

シリンジ ポリプロピレン なし 2 mg/ml 23°C 光/遮光
30 日
533
エビデンスレベル A+

シリンジ ポリプロピレン なし 2 mg/ml 4-6°C 特記なし
7 日
4358
エビデンスレベル C+

シリンジ ポリプロピレン なし 2 mg/ml 4°C 遮光
30 日
533
エビデンスレベル A+

シリンジ ポリプロピレン なし 5 mg/ml 23-27°C 特記なし
7 日
4358
エビデンスレベル C+

シリンジ ポリプロピレン なし 5 mg/ml 4-6°C 特記なし
7 日
4358
エビデンスレベル C+


  Mentions Légales