Letztes “update” :
31/03/2026
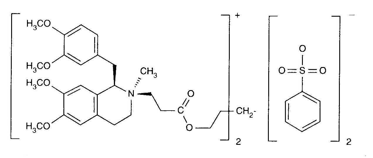
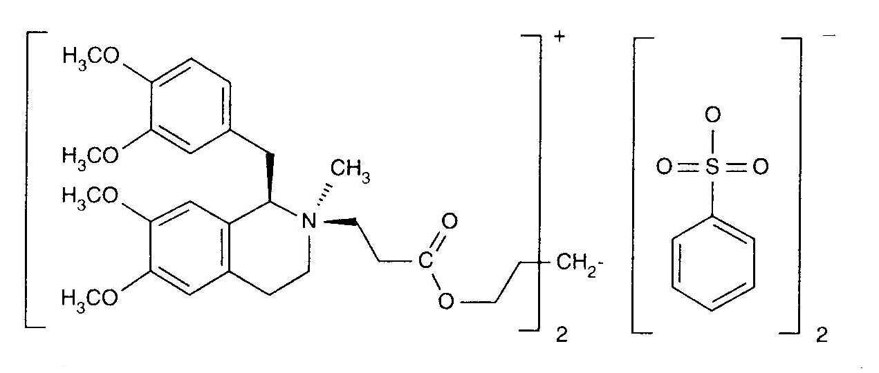
Durch Curarin narkotisierend   Cisatracurium besylate  
Injektion
Stabilität der Lösung Gemengestabilität Stabilitätbeeinflussende Faktoren Kompatibilitäten Applikationsart Literaturverzeichnis pdf
   Chemische Struktur  

Handelsmarke   Handelsmarke     

Handelsnamen sind als beispielhaft anzusehen. Sonstige Bestandteile können je nach Hersteller oder Land verschieden sein

Bensitrak Mexiko
Besilato de cisatracurio
Cicuryl Mexiko
Cirium Kolumbien
Cis Atracure
Cisatracurio Brasilien, Chile, Ecuador, Italien, Kolumbien, Peru, Spanien
Cisatracurium Belgien, Deutschland, Finnland, Frankreich, Großbritannien, Irland, Kanada, Tunesien, Ungarn
Nimbex Ägypten, Belgien, Chile, Dänemark, Deutschland, Ecuador, Finnland, Frankreich, Griechenland, Großbritannien, Iran, Irland, Italien, Kanada, Luxemburg, Malaysia, Mexiko, Niederlande, Norwegen, Österreich, Peru, Polen, Portugal, Saudi-Arabien, Schweden, Slowenien, Spanien, Tunesien, Türkei, Ungarn, Venezuela, Vereinigte Arabische Emirate, Vereinigte Staaten von Amerika
Nimbium Brasilien, Kolumbien
Stabilität der Lösung   Injektion   Stabilität der Lösung : Cisatracurium besylate     
Behälter Lösungsmittel Konzentration Temperatur Konservierung Dauer der Stabilität Literaturverzeichnis
Glas Kein 10 mg/ml 2-8°C Ohne Licht
450 Tag
4769
Evidenzgrad A+

Glas Kein 2 & 10 mg/ml 23°C Mit oder ohne Licht
45 Tag
533
Evidenzgrad A+

Glas Kein 2 & 10 mg/ml 4°C Ohne Licht
90 Tag
533
Evidenzgrad A+

Polyvinylchlorid 0,9% Natriumchlorid 0,1 & 2 & 5 mg/ml 4°C Ohne Licht
30 Tag
533
Evidenzgrad A+

Polyvinylchlorid 0,9% Natriumchlorid 5 mg/ml 23°C Mit oder ohne Licht
30 Tag
533
Evidenzgrad A+

Polyvinylchlorid 5% Glucose 0,1 & 2 & 5 mg/ml 4°C Ohne Licht
30 Tag
533
Evidenzgrad A+

Polyvinylchlorid 5% Glucose 5 mg/ml 23°C Mit oder ohne Licht
30 Tag
533
Evidenzgrad A+

Polyolefin 0,9% Natriumchlorid 0,1 mg/ml 23-27°C Nicht genau angegeben
48 Stunde
4358
Evidenzgrad C+

Polyolefin 0,9% Natriumchlorid 0,1 mg/ml 4-6°C Nicht genau angegeben
7 Tag
4358
Evidenzgrad C+

Polyolefin 5% Glucose 0,1 mg/ml 23-27°C Nicht genau angegeben
24 Stunde
4358
Evidenzgrad C+

Polyolefin 5% Glucose 0,1 mg/ml 4-6°C Nicht genau angegeben
7 Tag
4358
Evidenzgrad C+

 Spritze Polypropylen 0,9% Natriumchlorid 0,1 mg/ml 23-27°C Nicht genau angegeben
2 Tag
4358
Evidenzgrad C+

 Spritze Polypropylen 0,9% Natriumchlorid 0,1 mg/ml 4-6°C Nicht genau angegeben
7 Tag
4358
Evidenzgrad C+

 Spritze Polypropylen 5% Glucose 0,1 mg/ml 23-27°C Nicht genau angegeben
2 Tag
4358
Evidenzgrad C+

 Spritze Polypropylen 5% Glucose 0,1 mg/ml 4-6°C Nicht genau angegeben
2 Tag
4358
Evidenzgrad C+

 Spritze Polypropylen Kein 2 mg/ml 23-27°C Nicht genau angegeben
7 Tag
4358
Evidenzgrad C+

 Spritze Polypropylen Kein 2 mg/ml 23°C Mit oder ohne Licht
30 Tag
533
Evidenzgrad A+

 Spritze Polypropylen Kein 2 mg/ml 4-6°C Nicht genau angegeben
7 Tag
4358
Evidenzgrad C+

 Spritze Polypropylen Kein 2 mg/ml 4°C Ohne Licht
30 Tag
533
Evidenzgrad A+

 Spritze Polypropylen Kein 5 mg/ml 23-27°C Nicht genau angegeben
7 Tag
4358
Evidenzgrad C+

 Spritze Polypropylen Kein 5 mg/ml 4-6°C Nicht genau angegeben
7 Tag
4358
Evidenzgrad C+


  Mentions Légales